[拼音]:chouxiang kongjian weifen fangcheng
[外文]:differential equation in abstract space
巴拿赫空间中的微分方程。是常微分方程理论在无限维空间中的发展,研究可数无穷个常微分方程、泛函微分方程需要巴拿赫空间或希尔伯特空间的理论。它也是用常微分方程的思想和方法,研究偏微分方程的重要工具。
设Χ是巴拿赫空间,D是Χ中的开集,J是实轴上的开区间,函数ƒ∶J×D→Χ是连续的。微分方程
(1)
是常微分方程组在巴拿赫空间X 中的自然推广。设开区间(α,β)嶅J,φ:(α,β)→Χ是强可微的,并且在开区间(α,β)中成立恒等式
就称 x=φ(t)是微分方程(1)的解。
当ƒ关于 x满足李普希茨条件(见常微分方程初值问题)时,利用逐次逼近法可以证明:对于给定的初值(t0,x0)∈J×D,微分方程(1)满足初值条件
(2)
的解存在且惟一。然而,和常微分方程组的情形不同,仅有ƒ 的连续性不足以保证微分方程(1)满足初值条件(2)的解的存在性。例如,设с0表示满足
的数列全体所成的空间,它的元素x的范数(见巴拿赫空间)为‖x‖=sup│xk│。 在空间с0中考察含无穷个方程的常微分方程组
(3)
初值条件为
(4)
显然,(3)的右端ƒ是с0上的连续函数。但是,在с0中不存在方程(3)满足初值条件(4)的解。为了推广柯西—皮亚诺定理(见常微分方程初值问题)到巴拿赫空间中的微分方程(1),需要利用有界集的非紧性测度。设B是有界集,它的非紧性测度是α(B)=inf{d>0:能用有限个直径小于d的集覆盖B}。如果ƒ:J×D→Χ连续,并且对于D的任一有界子集B 成立关系式 α(ƒ(J,B))≤ω(α(B)),其中ω:[0,+
)→[0,+
)连续,而常微分方程
的以(t0,0)为初值的惟一解是ρ 呏0;那么微分方程(1)以(t0,x0)∈J×D为初值的解是存在的。它的证明需要利用绍德尔不动点定理(见不动点理论)。
许多有关常微分方程组的定理,诸如初值问题解的惟一性定理等,都可移到巴拿赫空间中的微分方程(1)。
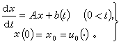
线性方程当ƒ(t,x)呏A(t)x+b(t)时,方程(1)成为线性方程
(5)
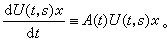
M.Γ.克列因、J.L.马塞拉等曾讨论A:J→L(Χ),b∶J→Χ连续的情形,其中L(Χ)表示 X上有界线性算子(见线性算子)。这时,方程(5)以(t0,x0)∈J×D为初值的解存在且惟一,并且在J上成立常数变易公式
式中U(t,s)∈L(Χ),满足关系:U(t,τ)U(τ,s)呏U(t,s),U(s,s)呏I和
称 U(t,s)是相应于(5)的发展算子。特别,当A(t)呏A是Χ上的线性有界算子时,
克列因还讨论了A(·)具有周期ω的情形,推广了周期系数线性常微分方程组的理论。对于非线性微分方程
(6)
假设g:J×Χ→Χ连续,
J=[0,+
),人们还讨论了零解的稳定性,推广了A.M.李亚普诺夫关于稳定性的有关结果(见常微分方程运动稳定性理论)。
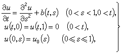
但是,对于偏微分方程,例如热传导方程
(7)
不能化为具有有界算子A(t)的线性方程(5)。若以 H姲表示区间[0,1]上一阶导数平方可积且在0和1取值为0的实连续函数全体当赋以范数
时所构成的希尔伯特空间,又记x(t)=u(t,·),b(t)=b(t,·),而当u(s)二阶导数平方可积时,
那么(7)可以化为Χ =H姲上的线性方程
(8)
但这里,A是 H姲上的无界线性算子。因此,在无限维空间中有必要研究A为无界算子时的线性方程(8)。
设线性算子A的定义域D(A)是Χ中的稠密集,A还是闭算子,如果当λ>β时A的预解算子(λI-A)-1(见线性算子)是Χ上的有界线性算子,并且成立不等式
其中M>0是常数,那么根据希尔-吉田耕作定理,A是Χ上的线性有界算子半群T(t)(t≥0)的母元。如果 b:J→Χ强可微,可以证明:常数变易公式
(9)
给出微分方程(8)的解。由它可得热传导方程、波动方程等解的公式。当b:J→Χ是博赫纳可积时,表达式(9)的右端是强连续的,称为(8)的软解。
加藤敏夫、田辺広城以及∏.E.索伯列夫斯基等还讨论了A(t)是Χ上的无界线性算子时的微分方程(5),给出了发展算子U(t,s)存在以及常数变易公式成立的条件。
为适应非线性抛物型偏微分方程理论、分布参数系统、控制理论等的需要,人们又进一步讨论了半线性发展方程
(10)
式中A(t)是Χ上的无界线性算子,ƒ:J×D →Χ是连续的;还研究了非线性压缩半群所产生的非线性方程。
在抽象空间微分方程研究中,除解的存在性、惟一性、解对初值的连续性、常数变易公式外,还有人研究周期解的存在性、惟一性,解的稳定性,分歧现象,等等问题,并且研究解的全局结构、高阶微分方程等。
关于解的概念,除前述的以强导数为依据的解的概念外,还有以弱导数为基础的弱解的概念等。