[拼音]:senlin shuiwen zuoyong
[外文]:hydrological role of forest
森林对自然界水分运动的影响及所产生的效应。地球上的总水量是一个相对稳定值。在太阳辐射能和地球引力作用下,水分通过降水、蒸发、径流等形式,在海洋与陆地之间及海洋、陆地内部进行着循环和运动。森林是陆地生态系统的组成部分。在森林生态系统中,森林植物对水分的吸收、蒸腾、滞流以及林地的渗透、贮蓄作用,对自然界的水分运动产生重大影响,可以调节降水、蒸发、径流和土壤水分的增减,并进而影响其他生态系统的水分运动和陆地水系的水量、水质变化。研究和认识森林对自然界水分循环运动影响的规律,对于开发、利用水资源,防治水患,充分发挥森林的生态效益具有重要意义。
研究概况
研究森林对水分的存在状况和运动规律的学科称森林水文学,它起源于19世纪中叶。1864年德国的 E.埃贝迈尔在巴伐利亚建立了第一个森林气象站,对林区降水量、土壤蒸发和枯枝落叶层对地面蒸发的影响进行了观察。1900年在瑞士的埃曼托尔山地的两个集水区,对森林和牧地、耕地进行了河流流量的对比观察。之后,日本、美国、苏联等国家相继开展了这方面的研究。20世纪中期以来,研究范围进一步扩大,手段日趋现代化。如在不同自然地域内开展各种林分的水量平衡和水质研究,探索不同林种、不同采伐方式对降水和径流的影响,找出最佳森林水文效益的林种和采伐、更新方式,以及在测试仪器和装置方面采用中子散射、无线电遥控、室内模拟等。中国最早是于1924~1926年在山西、山东等地的寺庙林里进行了径流试验。
森林对水文运动的影响
主要表现在以下几个方面。
对大气降水的影响森林植物枝叶对雾、露、霜等水平降水具有很强的捕获能力。森林的凝结水量比空旷地多1/4,一般占总降水量的2~5%。此外,森林还对降雪量有较高的拦截能力,林带和林缘的积雪量比农田要高2~6倍。对于森林增加降雨问题争论很大:一种意见认为森林地区水汽多、湿度大,温度较低,森林上空湍流涡动较盛,因而易于成云致雨;另一种意见认为降水量主要决定于大气环流,森林的作用不大。但比较趋于一致的意见是大面积森林可增加 5~10%的降水量。
截留降水森林植物和地被物表面吸收、吸附并蒸腾大气降水的现象。可分为3部分:
(1)林冠截留。是降水被林木的枝、 叶、干等表面吸收、 吸附和蒸发的现象。其截留率随降水量和降水强度增大而减少,一般为降水量的15~30%。截留量随降水量和降水持续时间增加而有所增大,但有一个极限值,最大截留量一般为10~20毫米,很少超过25毫米。林冠截留降水,与林冠总表面积成正相关。针叶林大于阔叶林;复层林大于单层林;中龄林以上的林分大于幼龄林;郁闭度大和疏密度高的林分大于郁闭度小和疏密度低的林分。
(2)林下植物截留。其截留量较少,与覆盖度、占有立体空间及枝叶密度成正相关。
(3)枯枝落叶层的截留。其截留量较大,吸水量可达到自重的2~5倍。一般占年降水量的1~5%。截留量与枯枝落叶层的厚度、 质地和分解程度等有密切关系。厚度大、分解程度高,吸水性能好,则截留量大,截留率高。
蒸发散包括林地表面水分蒸发和森林植被的蒸腾。由于森林内的温度较低、湿度较大,林地表面蒸发量比无林地小,一般为无林地的20~60%。森林蒸腾是森林植物进行有机物合成及分解、能量的吸收和转化的一种生理现象。即土壤水分经根系吸收,通过输导系统,至叶部及嫩枝皮部逸散到大气中的消耗过程。其蒸腾量受蒸腾强度、蒸腾时间和蒸腾面积(主要是总叶面积)等3 个因素所支配。森林蒸腾量比草原、农田和裸地为高。热带雨林年蒸腾量可达3100毫米,比温带森林大2~3倍。森林蒸发 -蒸腾量一般接近年降水量的一半或一半以上。
土壤蓄水森林土壤疏松,渗透性强,有利于水分的贮存和移动。中国四川高山云杉、冷杉林的土壤渗透率为300毫米/小时,而其采伐迹地仅为120~130毫米/小时。日本北海道各类土壤终期渗透强度林地为 414毫米/小时,农地为56毫米/小时,牧地为37毫米/小时,草地为128毫米/小时,裸地为14毫米/小时。不同森林植被的蓄水能力也不同。土壤层越深厚、越疏松,蓄水能力越高。
调节径流在森林里,地表径流所占比例很小。地下径流则占主要地位,它是由降水渗入土壤而产生的。同地面径流相比,地下径流流速缓慢,水质纯净,具有调节和净化水源的作用。径流量与降水量之比称为径流系数,其值大小同降水、森林组成和结构以及土壤条件有关。森林对河流年径流量的影响,目前仍有争论。一种意见认为在降水量充足而均匀、地层透水性良好的地区,森林可增加地下径流而使河流年总径流量增加。另一种意见认为由于森林蒸腾量较大、耗水多,反可使土壤干燥、径流量减少。
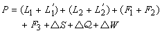
森林水分平衡通常用下述水分平衡式表示:
式中P为固定森林流域内某一期间的降水量,以毫米计;L1为林冠蒸发量;噹为森林蒸腾量,即森林将吸收水分通过叶表面气孔及枝干皮孔等组织向大气逸散的水分;L2为林地地面蒸发量;噵为活地被物(草、灌木、苔藓、地衣等)水分蒸腾量;F1为地面径流,降水在地面形成的坡漫流,注入河道的水量;F2为地中径流或表层径流,土壤孔隙间的水分倾斜流动注入河道的水量;F3为深层径流或地下径流,地下水以渗流方式注入河道的水量;△S为森林生物体贮水量变量值;△Q为林中空气水汽的变量值;△W为土壤贮水量的变量值。
水文效益
森林由于其对水文的影响而对人类生态环境及生产活动产生的水文效益主要表现在:
保持水土、防止土壤侵蚀森林对降雨的截留,大大减轻了雨滴对土壤表面的重力冲击。森林把地面径流转为地下径流,可以防止土壤流失。树根深而交错盘结,固土能力强,可以防止滑坡、塌方和泥石流的发生。相反,过量采伐森林是导致水土流失的根本原因。历史上中国黄土高原地区森林覆被率曾高达50%左右。经四五千年的开垦,森林覆被残存无几,水土流失严重地区的面积达28万平方公里,占该地区总面积65%;每年向三门峡以下黄河下游倾泻泥沙达16亿吨,成为世界上水土流失最严重的地区,黄河成为含沙量最高的河流。因此,在该地区恢复森林植被,限制坡面垦荒、实行陡坡退耕还林是控制水土流失的根本途径。
涵养水源,调节流量,减少洪害森林把地面径流转为地下径流,减慢了径流速度,因此在雨季可以大量贮蓄水分,减缓洪水流量;干旱季节又可补充河水流量,减轻或防止旱灾。复层、异龄、针阔混交的天然林等是涵养水源的最佳林分。降水量较小时森林对洪水的影响较为显著,但长时连续性大雨则可使其抗洪作用逐渐减小。中国长江支流岷江上游因1950~1978年原始林破坏,森林覆被率下降15~20%,同期河流洪水流量平均增加38.27立方米/秒。
此外,森林还可改善水质,降低水的硬度,提高水的碱性,并可防止水资源受到物理、化学、热能及生物的污染。
- 参考书目
- R.Lee,Forest Hydrology,Columbia University Press,New York,1980.
- 中野秀章著:《森林水文学》,共立出版株式会社,東京,1976。