±±¶¹¸ù

¸Å¿ö

ÒìÃû£ºòùòðÌÙ(¡¶¸ÙĿʰÒÅ¡·)£¬É½¶¹¸ù(Ò©²ÄÃû)£¬±±¶¹¸ù(¡¶ÖйúÒ©µä¡·)¡£

»ùÔ´£ºÎª·ÀÒÑ¿Æòùòð¸ðÊôÖ²Îïòùòð¸ðµÄ¸ù¾¥¡£òùòð¸ðÊôÈ«ÊÀ½çÔ¼2ÖÖ£»Öйú½ö1ÖÖ£¬¹©Ò©Óá£

Ô­Ö²Îòùòð¸ðMenispermum dauricum DC£®£¬ÓÖÃûɽ¶¹Ñí¸ù¡¢¿à¶¹¸ù(ÄÚÃɹÅ)£¬òùòðÌÙ(Õã½­)¡£

ÀúÊ·£ºòùòðÌÙʼ¼ûÓÚ¡¶¸ÙĿʰÒÅ¡·£¬ÔØ£º¡°´ËÌÙ¸½ÉúÑÒ±Ú¡¢ÇÇľ¡£¼°ÈËǽ´Ä²à£¬Ò¶ÀàÆÑÌѶøÐ¡£¬¶à᪣¬¾¢ºñÇ໬£¬¾øÒÔòùòðÐΡ¢¹ÊÃû¡±¡£±±¶¹¸ùÒ»Ãûʼ¼ûÓÚ¡¶ÖйúÒ©µä¡·£¬ÓС°±±·½ÓõÄɽ¶¹¸ù¡±Ö®Ò⣬¶øÓëÄÏ·½Ëù²úµÄɽ¶¹¸ùÏÖÃû¹ã¶¹¸ùÏàÇø±ð¡£½üÄêÀ´Ò©³§´ÓÖÐÌáÈ¡ÉúÎï¼îÖÆ³ÉƬ¼Á¼°Õë¼ÁÓ¦Óá£

ÐÎ̬£º¶àÄêÀ´Éú²øÈÆÐԲݱ¾¡£³¤´ï10mÒÔÉÏ£¬È«Ìå½üÎÞë¡£¸ù×´¾¥¶àºáÉú£¬Ï¸³¤¡£¾¥»ù²¿ÉÒľÖÊ£¬Ð¡Ö¦ÂÌÉ«£¬ÓÐ×ÝÌõÎÆ¡£Ò¶»¥Éú£»Ò¶±ú¶Ü×´×ÅÉú£¬³¤6¡«12cm£¬±»Ï¡¶Ì룻ҶƬԲÉöÐλòÂÑÔ²ÐΣ¬³¤¿í¾ùÔ¼5¡«15cm£¬Ïȶ˼⣬»ù²¿ÐÄÐλò½ØÐΣ¬Ò¶Ôµ½üȫԵ»ò5¡«7dzÁÑ£¬ÁÑÆ¬½üÈý½ÇÐΣ¬Ò¶ÃæÂÌÉ«£¬±³Ãæ²Ô°×É«£¬¾ßկ״Âö5¡«7Ìõ¡£»¨ÐòÒ¸Éú£¬¶ÌÔ²×¶×´£¬»¨Ð¡£¬µ¥ÐÔÒìÖꣻÐÛ»¨Ðò×Ü»¨¹£³¤3¡«7cm£¬»¨¹£³¤5¡«7mm£¬»ù²¿¾ßС°úƬ1£¬Ïß×´ÅûÕëÐΣ¬ÐÛ»¨ÝàÆ¬6£¬Õ­µ¹ÂÑÐΣ¬»¨°êÂÑÔ²ÐΣ¬½Ï»¨ÝàС£»ÐÛÈï10¡«20£¬»¨Ò©ÇòÐΣ»´Æ»¨Í¨³£¾ß3ÐÄÆ¤£¬·ÖÀë¡¢»¨Öù¶Ì¡£ºË¹ûÇòÐΣ¬ÊìʱºÚ×ÏÉ«¡£ÖÖ×Ó1£¬ÂíÌãÐΡ£»¨ÆÚ6¡«7Ô£¬¹ûÆÚ7¡«8Ô¡£(ͼ¼û¡¶ÖÐÒ©Ö¾¡·µÚ1²á£®µÚ55Ò³£®µÚ2°æ£®Í¼39)

Éú¾³Óë·Ö²¼£ºÉúÓÚɽµØ¹à´ÔÖлòÅÊÔ®ÑÒÉÏ¡£·Ö²¼ÓÚ»ª±±¡¢»ª¶«¡¢¶«±±¡¢ÖÐÄÏ¡¢ÉÂÎ÷¡¢ËÄ´¨¡¢¹óÖÝ¡£Ò©²Ä±±¶¹¸ùÖ÷²úÓÚ»ª±±¡¢¶«±±¼°ÉÂÎ÷¡£Ò»°ã¶à×Ô²ú×ÔÏú¡£

ÉúÒ©

²É¼¯£º´ºÇïÁ½¼¾²ÉÍÚ£¬³ýÈ¥¾¥Ò¶¡¢Ðë¸ùºÍÄàÍÁ£¬É¹¸É¡£

¼ø±ð

ÐÔ×´£º¸ù¾¥³¤Ô²ÖùÐΣ¬³£ÍäÇú£¬ÓÐʱ¿É¼û·ÖÖ¦£¬³¤Ô¼50cm£¬Ö±¾¶3¡«8mm£»±íÃæ»Æ×ØÉ«ÖÁ°µ×ØÉ«£¬ÓÐ×ÝÖåÎÆ¼°Ï¡ÊèµÄϸ¸ù»ò͹ÆðµÄϸ¸ùºÛ£¬ÍâÆ¤Ò׳ɯ¬ÍÑÂä¡£ÖÊÈÍ£¬²»Ò×ÕÛ¶Ï£¬ÕÛ¶ÏÃæ²»ÕûÆë£¬ÏËάÐÔ£¬Î¬¹ÜÊø³Ê·ÅÉä×´ÅÅÁУ¬Ä¾Öʲ¿µ­»ÆÉ«£¬ÖÐÐÄÓÐÀà°×É«µÄËè¡£ÆøÎ¢£¬Î¶¿à¡£ÒÔÌõ´Ö³¤¡¢ÍâÆ¤É«»Æ×Ø¡¢¶ÏÃæÉ«Ç³»ÆÕßΪ¼Ñ¡£

ÏÔ΢ ¸ù¾¥(Ö±¾¶Ô¼5mm)ºáÇÐÃæ£º±íƤϸ°ûÒ»ÁУ¬Íâ±»ºñµÄר»ÆÉ«½ÇÖʲ㣬±íƤÏ·½³£ÓжÏÐøµÄľ˨²ã²úÉú£¬¾ßÃ÷ÏÔÆ¤¿×¡£Æ¤²ãϸ°û¶àÁУ¬Óе¥¸öʯϸ°ûÉ¢ÔÚ£¬Ê¯Ï¸°û³Ê·Ö֦״¡¢²»¹æÔòÐΡ¢ÀàÔ²ÐλòÀà·½ÐΡ£ÖÐÖùÇÊÏËάÅÅÁгÉÐÂÔÂÐΣ¬Á½²àÓÐʯϸ°ûȺ£¬Ê¯Ï¸°ûÀàÔ²ÐλòÍÖÔ²ÐΡ£ÈÍÆ¤²¿¾ùΪ±¡±ÚÐÔϸ°û¡£Êø¼äÐγɲ㲻Ã÷ÏÔ¡£Ä¾Öʲ¿µ¼¹Ü¡¢¹Ü°û¡¢Ä¾ÏËά¼°Ä¾±¡±Úϸ°û¾ùľ»¯£»Ä¾±¡±Úϸ°û¾ßÎÆ¿×£¬²¢³£1¡«3Áо¶ÏòÅÅÔÚľÖʲ¿ÊøÁ½²à¡£ÉäÏßϸ°û¿í5¡«13ÁУ¬ÓÐʯϸ°ûÉ¢ÔÚ¡£Ëèϸ°û¾ßÎÆ¿×¡£±¾Æ·±¡±Úϸ°ûÖк¬Ï¸Ð¡µí·ÛÁ£¼°Ð¡²ÝËá¸Æ½á¾§¡£(ͼ¼û¡¶ÖÐÒ©Ö¾¡·£®µÚ1²á£®µÚ2°æ£®Í¼40) ·ÛÄ©£º»Òרɫ£¬ÆøÎ¢£¬Î¶¿à¡£ ¢Ùʯϸ°û£¬³£µ¥¸öÉ¢ÔÚ£¬µ­»ÆÉ«»òÏÊ»ÆÉ«£¬´ó¶à³ÊÌØÒì²»¹æÔò·Ö֦״£¬ÓÐ2¡«7·ÖÖ¦£¬¸ö±ð·ÖÖ¦ÓÖÓж̷ÖÖ¦£¬¶¥Ãæ¹ÛÍðËÆÊý¸öϸ°ûÖØµþ£¬Ö±¾¶43¡«173¦Ìm£¬ÉÙÊý³¤ÖÁ370¦Ìm£¬±Úºñ12¡«34¦Ìm£¬Óеľß1¡«3¸öºá¸ô£¬·Ö2¡«4Сǻ£¬ÄÚº¬×ØÉ«Îï»òϸС²ÝËá¸ÆÉ°¾§£»ÁíÓÐÉÙÊýʯϸ°û³ÊÀàÔ²ÐΡ¢À೤·½ÐλòÀàÈý½ÇÐΣ®Ö±¾¶26¡«87¦Ìm¡£ ¢ÚÈÍÆ¤ÏËά ³ÉÊø»òµ¥¸öÉ¢À룬³Ê³¤ËóÐΣ¬±ßԵƽÕû»òÓа¼Í¹£¬ÓÐʱ¾ß·Ö¸ô£¬Ö±¾¶17¡«34£­46¦Ìm£¬±Úºñ5¡«12¦Ìm£¬°ûÇ»ÄÚÓк¬²ÝËá¸ÆÉ°¾§¡£ ¢Û²ÝËá¸ÆÉ°¾§£¬Ö÷Òª´æÔÚÓÚÆ¤²ãϸ°û¼°ÉäÏßϸ°ûÖУ¬´ó¶à³Ê°ô×´»òɰÁ£×´£¬Ö±¾¶1¡«2¦Ìm£¬ÉÙÊýÖÁ9¦Ìm¡£ ¢Ü²ÝËá¸Æ·½¾§ÉÙÊý£¬Ö±¾¶6¡«26¦Ìm£¬³¤ÖÁ38¦Ìm¡£ ¢ÝľÏËά³£Óëµ¼¹ÜÅþÁ¬£¬ÏËά¹Ü°ûÄ©¶Ë¼â£¬Ö±¾¶12¡«32¦Ìm£¬±Úºñ3¡«5¦Ìm£¬ÓоßÔµÎÆ¿×£¬Îƿ׿ÚбÁÑ·ì×´£¬ÈÍÐÍÏËάÉÙÊý£¬¾ßµ¥Ð±Îƿ׻ò½»²æ³ÉÊ®×ÖÐΡ£Áí¿É¼ûµ¼¹Ü¡¢µí·ÛÁ£¡¢±íƤϸ°û¼°Ä¾Ë¨Ï¸°û¡£(ͼ¼û¡¶ÖÐÒ©²Ä·ÛÄ©ÏÔ΢¼ø¶¨¡·£®Í¼103)

Àí»¯£ºÈ¡ÑùÆ··ÛÄ©2g£¬¼Ó°±ÊÔÒº1£®5ml¼°±½15ml£¬ÕñÒ¡£¬¹ýÒ¹£¬Â˹ý£¬ÂËÒºÓÃ0£®5%ÁòËá16ml·Ö4´ÎÌáÈ¡£¬ºÏ²¢ËáÒº£¬ÓÃŨ°±Ë®¼î»¯£¬ÔÙÒÔÂÈ·Â20ml·Ö4´ÎÌáÈ¡£¬ºÏ²¢ÂÈ·ÂÒº£¬¼ÓÎÞË®ÁòËáÄÆÉÙÐíÍÑË®£¬Â˹ý£¬ÕôÈ¥ÂÈ·ÂÖÁÔ¼0£®8ml£¬µãÓڹ轺G°åÉÏ£¬ÒÔÂȷ¼״¼£­°±Ë®(8£º2£º)1µÎΪչ¿ª¼Á£¬ÒÔɽ¶¹¸ùΪ¶ÔÕÕ¡£Õ¹¾à18cm£¬ÓøÄÁ¼µâ»¯î鼨ÊÔ¼ÁÏÔÉ«¡£(ͼ¼û¡¶ÖÐÒ©²Ä±¡²ãÉ«Æ×¼ø±ð¡·£®Í¼47)

¼Ó¹¤ÅÚÖÆ£ºÈ¡Ô­Ò©²Ä£¬³ýÈ¥ÔÓÖʼ°²Ð¾¥£¬´óС¸ö·Ö¿ª£¬½þÅÝÖÁÁùÆß³É͸ʱ£¬À̳ö£¬ÃÆÈóÖÁ͸£¬Çб¡Æ¬£¬¸ÉÔï¡£

»¯Ñ§ÐÔÖÊ

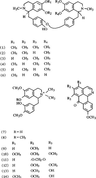
º¬×ÜÉúÎï¼îÔ¼1%ÒÔÉÏ£¬ÆäÖÐÒÔòùòð¸ð¼îºÍòùòð¸ðÈμÁ¿½Ï¶à[1]¡£´Ó²»Í¬µØÇø²úµÄ±±¶¹¸ùÖУ¬·ÖÀëµÃµ½µÄË«ÜлùËÄÇâÒìà­ßøÉúÎï¼î£ºòùòð¸ð¼î(Dauricine)(1)¡¢òùòð¸ðŵÁÖ¼î(Daurinoiline)(2)¡¢òùòð¸ðÐÂŵÁÖ¼î(Dauricineoline)(3)¡¢òùòð¸ðËÕÁÖ¼î(Daurisoline)(4)¡¢òùòð¸ð¿ÉÁÖ¼î(Dauricoline)(5)¡¢òùòð¸ðÐÂÁÖ¼î(Dauriciline)(6)[2]£»°¢ÆÓ·È¼¾ï§ÐͼľÀ¼¼î(Magnoflorine)(7)¡¢òùòð¸ðÈμî(Menisperine)(8)£»Ñõ»¯Òì°¢ÆÓ·ÈÉúÎï¼î£ºòùòð¸ðÐÁ¼î(Bianfugecine)(9)¡¢òùòð¸ðÄþ¼î(Bianfugenine)(10)¡¢òùòð¸ð¶¨¼î(Bianfugedine)(11)¡¢òùòð¸ð·È¼î(Menisporphine)(12)¡¢¶þÇâòùòð¸ð·È¼î(2£¬3£­Dihydro-menisporphine)¡¢È¥¼×òùòð¸ð·È¼î(6£­ODemethylmenisporphine)(13)¡¢òùòð¸ð·ÈŵÁÖ¼î(Dauriporphinoline)(14)[3]¡£

´ËÍ⣬»¹ÓÐÇàÌÙ¼î(Sinomenine)¡¢ÇàÌÙ·À¼º¼î(Acutumie)¡¢N£­È¥¼×ÇàÌÙ·À¼º¼î(Acutumidine)¡¢¹âҶǧ½ðÌÙ¼î(Stepharine)¡¢ËéÃ×Þ§Ò¶¼î(Cheilanthifoline)¡¢¹âҶǧ½ðÌÙ¶¨¼î(Stepholine)µÈ¡£

¸½ Ò¶Öк¬ÇàÌټ˫ÇàÌÙ¼î(Disinomenine)¡¢Ç§½ðÌÙ¼î(Stephanine)¡¢ÇàÌÙ·À¼º¼î¼°ÇàÌÙ·À¼º´Î¼î(Acutuminine)µÈ¡£

²Î¿¼ÎÄÏ×

[1] ÖвÝҩѧ£®Öвᣮ½­ËÕÈËÃñ³ö°æÉ磬1986£º289¡£
[2] ҩѧѧ±¨ 1991£»26(5)£º387¡£
[3] ÖйúÒ©¿Æ´óѧѧ±¨ 1990£»21(6)£º377¡£

Ò©Àí

¢Ù¿¹ÐÄÂÉʧ³£×÷Óà ÔÚèÈéÍ·¼¡¹Û²ìòùòð¸ð¼î¶ÔÐļ¡ÊÕËõÐÔ¡¢×ÔÂÉÐÔ¡¢²»Ó¦ÆÚºÍÐË·ÜÐÔµÄÓ°Ï죬·¢ÏÖòùòð¸ð¼î32¦Ìmol£¯LÃ÷ÏÔÒÖÖÆÆäÊÕËõÁ¦£®15¡«20minʱ×÷Óôï¸ß·å£¬ÊÕËõ·ù¶È½µÖÁ¸øÒ©Ç°µÄ72¡À6%¡£ÓÃÉöÉÏÏÙËØÓÕ·¢ÈéÍ·¼¡×ÔÂÉÐÔ£¬¸øÓèòùòð¸ð¼î32¦Ìmol£¯LºóÓÕ·¢×ÔÂÉÐÔµÄÉöÉÏÏÙËØãÐŨ¶È¿ÉÌá¸ß4£®6¡À3£®1±¶¡£òùòð¼î¶ÔÈéÍ·¼¡µÄ¹¦ÄÜÐÔ²»Ó¦ÆÚÓɸøÒ©Ç°315¡À13msÑÓ³¤ÖÁ362¡À44ms£¬òùòð¸ð¼î5¦Ìmol£¯Lʱ¿ÉʹÈéÍ·¼¡µç´Ì¼¤Ç¿¶È£­Ê±¼äÇúÏßÓÒÒÆ£¬¼Ó´óÖÁ32¦Ìmol£¯L£¬ÇúÏßÓÒÒÆ¸üÃ÷ÏÔ£¬±íÃ÷òùòð¸ð¼îÒ²ÓÐÀàËÆ×÷Ó㬶ÔÐÄ·¿¼¡ÉúÀíÌØÐÔµÄÓ°ÏìÓëÐÄÊÒ¼¡ÏàËÆ£¬Ã÷ÏÔ¼õÂýÓÒ·¿ÆµÂÊ£¬ËµÃ÷ñ¼·¿½áÓÐÖ±½ÓÒÖÖÆ×÷ÓÃ[2]¡£òùòð¸ð¼îµÄ¿¹ÐÄÂÉʧ³£×÷ÓÿÉÄÜÓëÆäÒÖÖÆÐļ¡×ÔÂÉÐÔ£¬ÐË·ÜÐÔ¼°ÑÓ³¤²»Ó¦ÆÚÓйأ¬²»µ«ÒÖÖÆCa2+£¬¸üÒÖÖÆNa+ÄÚÁ÷[1£¬2]¡£ÓÃ˫΢µç¼«µçÑ¹Ç¯ÖÆ¼¼Êõ¹Û²ìòùòð¸ð¼î¶ÔÈ®ÐÄÆÖÊÏÏËάÂýÏòµçÁ÷µÄ×÷Ó㬷¢ÏÖòùòð¸ð¼îŨ¶È(10¡¢40¡¢100¦Ìmol£¯L)ÒÀÀµÐÔµØÒÖÖÆ(Isi)£¬ÆäIC50Ϊ69¦Ìmol£¯L¡£Ëü¶ÔIsiµÄÒÖÖÆ×÷ÓÃÓÚ¸øÒ©ºó5min¿ªÊ¼£¬10min´ïÎȶ¨¡£òùòð¸ð¼î¼õÉÙIsiµÄ×÷ÓóʵçѹºÍƵÂÊÒÀÀµÐÔ¡£òùòð¸ð¼î¶ÔIsiÎÈ̬ʧ»îÇúÏßÎÞÓ°Ï죬ȴÃ÷ÏÔÑÓ³¤Isiʧ»î»Ö¸´Ê±¼ä¡£Óɴ˿ɼû£¬òùòð¸ð¼î¶ÔÈ®ÐÄÆÖÊÏÏËά¸ÆÍ¨µÀµÄ×èÖÍ×÷ÓÿÉÄÜÖ÷ÒªÊÇ×÷ÓÃÓÚ¸ÆÍ¨µÀµÄʧ»î̬»ò¼¤»î̬[3]¡£ÓÃϸ°ûÄÚ΢µç¼«¼¼Êõ¹Û²ìòùòð¸ð¼î¶ÔëàÊóÈéÍ·¼¡¶¯×÷µçλ¼°ÂýÄÚÏòÀë×ÓÁ÷µÄÓ°Ï죬·¢ÏÖòùòð¸ð¼îÔçÆÚÒ»¹ýÐÔËõ¶ÌAPD¼°ERP(P£¼0£®01)£¬Ö®ºóÃ÷ÏÔÑÓ³¤APD¼°ERP£¬¼õСAPA£¬Vmax¼°)OS(P£¼0£®01)£¬20minÇ÷ÓÚÎȶ¨¡£8¡Á10£­5mol£¯Lòùòð¸ð¼îÄÜÃ÷ÏÔÒÖÖÆÓÉÒì±ûÉöÉÏÏÙËØÓÕ·¢µÄÂý·´Ó¦¶¯×÷µçλ(APS)£¬20minʱAPA¼°OS¾ùÃ÷ÏÔ¼õÉÙ(n=7¡¢P£¼0£®01)£¬Ê¹ÂýÄÚÏòÀë×ÓÁ÷µÄÖµ¼õС(n=6£¬P£¼0£®01)¡£Òò´ËÈÏΪòùòð¸ð¼î¶ÔNa+¡¢Ca2+ÄÚÁ÷¼°K+ÍâÁ÷¾ùÓÐÒÖÖÆ×÷Óã¬Õâ¿ÉÄÜÊÇËü¿¹ÐÄÂÉʧ³£µÄ»úÀí[4]¡£±È½Ïòùòð¸ð¼îÓëÀû¶à¿¨Òò¶ÔÈ®ÆÖÊÏÏËάµÄµçÉúÀíÓ°Ïì¼°ÆäÏ໥×÷Ó㬷¢ÏÖòùòð¸ð¼î(ÀÛ»ýŨ¶È1£¬3£¬10£¬30¦Ìmol£¯L)ÔÚ²»Í¬´Ì¼¤ÆµÂÊ(60£¬75£¬100£¬150´Î£¯min)¾ùŨ¶ÈÒÀÀµÐÔ½µµÍÆÖÊÏÏËά¶¯×÷µçÓ¦·ù¶È(APA)¡¢oÏàÉÏÉý×î´óËÙÂÊ(Vmax)ºÍ×î´óÊæÕŵçλ(MDP)¡¢ÑÓ³¤¶¯×÷µçλ¸´¼«50%£¬90%µÄʱ³Ì(APD50¡¢APD90)ºÍÓÐЧ²»Ó¦ÆÚ(ERP)¡£òùòð¸ð¼î(3£¬10£¬30¦Ìmol£¯L)¹àÁ÷30minºó£¬ÆÖÊÏÏËάµÄʱ¼ä£­Ç¿¶ÈÇúÏßÃ÷ÏÔÓÒÒÆ£¬ÐË·ÜÐÔ½µµÍ£¬×Ô·¢¶¯×÷µçλƵÂÊ·Ö±ðÓɸøÒ©Ç°48¡À7´Î£¯min¼õÂýÖÁ45¡À6¡¢40¡À6£®33¡À4´Î£¯min(P£¼0£®01)100¦Ìmol£¯L¿ÉÍêÈ«ÒÖÖÆ×Ô·¢µç»î¶¯¡£¶øÀû¶à¿¨Òò30¦Ìmol£¯LÃ÷ÏÔËõ¶ÌAPD50£¬¶Ô¶¯×÷µçλÆäËü²ÎÊýÔòÎÞÃ÷ÏÔÓ°Ï죬100¦Ìmol£¯L¿ÉʹAPD90ºÍERPÒàÃ÷ÏÔËõ¶Ì£¬APA¡¢VmaxÃ÷ÏÔ½µµÍ£¬¶ÔMDPÔòÎÞÃ÷ÏÔÓ°Ï졣ȮÆÖÊÏÏËά¾­òùòð¸ð¼î10¦Ìmol£¯L¹àÁ÷30minºóÓÃÀû¶à¿¨ÒòÈÔ¿ÉÃ÷ÏÔËõ¶ÌÒÑÑÓ³¤µÄAPD50ºÍAPD90£¬ERPÒàÓÐËõ¶ÌÇ÷ÊÆ¡£ÊµÑé±íÃ÷£¬Àû¶à¿¨ÒòÓëòùòð¸ð¼îºÏÓ㬿ɸıäºóÕߵIJ¿·ÖµçÉúÀíÌØÐÔ£¬Õâ¿ÉÄܹ¹³ÉÆäÔöÇ¿òùòð¸ð¼îҩЧ¡¢½µµÍ²¿·ÖÐÄÔà¶¾ÐԵĻù´¡[5]¡£òùòð¸ð¼î¶ÔÒì±ûÉöÉÏÏÙËØµÄÁ¿Ð§·´Ó¦µÄÓ°ÏìÓëÎìÂö°²ºÍ·Û·À¼º¼îÏàËÆ£¬±íÏÖΪ¾ºÕùÐԺͷǾºÕùÐÔË«ÖØÞ׿¹[6]¡£òùòð¸ð·ÓÐÔ¼î(¼ò³Æ¸ð·Ó¼î)ÓÃÓÚСÊó(37£®6mg£¯kg ip£¬120mg£¯kg ig)¾ùÓÐÃ÷ÏÔ¶Ô¿¹ÂÈ·ÂÓÕ·¢ÊÒ²üµÄ×÷Óã¬ÓÚëàÊó(7£®8mg£¯kg iv£¬30£¬60£¬120mg£¯kg ig)¾ùÄÜÏÔÖøÌá¸ßÍÛ°ÍÒòÓÕ·¢ÊÒÐÔÐÄÂÉʧ³£µÄÓÃÁ¿¡£ÎÚÍ·¼îÓÕ·¢´óÊóÐÄÂÉʧ³£Ä£ÐÍÖУ¬ÒÔÌá¸ßÓÕ·¢ÊÒÔçÓÃÁ¿%ÊýΪָ±ê£¬°´Ö±Ï߻ع鷨¼ÆËãED50£¬¸ð·Ó¼îΪ6£®8mg£¯kg£¬òùòð¸ð¼îΪ11£®5mg£¯kg£®ÓÃÓÚÍÃ(3£®5mg£¯kg iv)¿ÉÃ÷ÏÔÌá¸ßÐÄÊÒµç´Ì¼¤Ö²üãУ¬ÓÃÓÚ´óÊó(2£®5mg£¯kg iv)¡£¶Ô¹ÚÂö½áÔú¸´¹àÓÕ·¢ÐÄÂÉʧ³£ÓжԿ¹×÷Óã¬ÀàËÆòùòð¸ð¼î¡£ÒÔ¸ð·Ó¼î¡¢òùòð¸ð¼î¡¢¿üÄá¶¡LD501£¯3Á¿ÓÃÓÚСÊ󣬶ÔCacl2£­AchÓÕ·¢·¿ÐÔÐÄÂÉʧ³£µÄ¶Ô¿¹×÷Ó㬸ð·Ó¼îÈõÓÚÁ½Õß¡£¶ÔëàÊóÓÒÊÒÈéÍ·¼¡¶¯×÷µçλµÄÓ°Ïì¾ßŨ¶ÈÒÀÀµÐÔ½µµÍAPA£¬Vmax£¬ÑÓ³¤APD50¡¢APD90ºÍERPµÄ×÷ÓÃ[7]òùòð¸ð¼î0£®1mmol£¯LʹÐÄÈéÍ·¼¡µÄFC½µµÍ73£®6%£¬APAºÍdv£¯dtmax·Ö±ð½µµÍ24£®5%ºÍ73£®4%£¬RPºÍOSÒà¼õС£¬1¡«300¦Ìmol£¯LŨ¶ÈÒÀÀµÐÔµØÑÓ³¤APD20¡¢APD90ºÍERP£¬½µµÍdv£¯dtmaxºÍFC¡£30¦Ìmol£¯L¶Ô¿¹Ach(30¦Ìmol£¯L)Ëõ¶Ì×óÐÄ·¿¼¡APDµÄ×÷Óã¬Ìá¸ß¡°±±É½¶¹¸ù¼î¡±¶ÔNa+¡¢Ca2+¡¢K+µÄ¿çĤתÔËÓÐÒÖÖÆ×÷ÓÃ[8]¡£×è¶ÏÂé×í´óÊó¹ÚÂöѪÁ÷5minºó¸´¹àËùÖµÄÐÄÂÉʧ³£·¢Éú¿ì£¬³ÖÐøÊ±¼ä¶Ì¡£ÊÒËÙ¼°ÊÒ²üµÄ·¢ÉúÂÊ·Ö±ðΪ100%¼°72%¡£òùòð¸ð¼î¿ÉÏÔÖøµØ½µµÍÊÒËٵķ¢ÉúÂʼ°ÑÏÖØ³Ì¶È£¬Ïû³ýÊÒ²üµÄ·¢Éú[9]¡£òùòð¸ð¼î¶Ô´óÊóECG¸÷²ÎÊýµÄÓ°ÏìÓë¿üÄá¶¡ÏàËÆ¡£¹à×¢10min£¬HR½µÖÁ¸øÒ©Ç°µÄ68¡À3£®9%(P£¼0£®001)¡¢P-R¼äÆÚ¡¢QRSºÍQTc·Ö±ðÑÓ³¤ÖÁ158¡À4£®6%(P£¼0£®01)¡¢200£®5¡À11£®5(P£¼0£®001)ºÍ146¡À10£®6%(P£¼0£®001)¡£P-R¼äÆÚºÍQRSµÄÑÓ³¤±È¿üÄá¶¡ÏÔÕß(P£¼0£®01)¡£¹à×¢³¬¹ý10min£¬»¹³öÏÖT-R²¨ÈÚºÏÏÖÏó[10]¡£ÒÔPER¡¢PEP£¯LVE×÷ΪºâÁ¿×óÐÄÊÒ¹¦ÄܵÄÖ¸±ê¡¢²â³öÂé×íèSTI²ÎÊýΪQS2177¡À3£®7ms¡¢LVET127+2£®8ms¡¢PEP50¡À2£®8ms¡¢PEP£¯LVET0£®399¡À0£®03£¬ÆäÖнöQS2¡¢LVETÓëHR³Ê¸ºÐÔÏà¹Ø¡£òùòð¸ð¼îiv½µÑ¹Ê±£¬²»Ó°ÏìÂé×íèµÄ×óÊÒ¹¦ÄܺÍÐÄÂÊ£¬Æä½µÑ¹Ð§Ó¦ÏµÀ©ÕÅ×èÁ¦Ñª¹ÜËùÖÂ[11]¡£ ¢Ú½µÑ¹×÷Óà òùòð¸ð¼îiv¶ÔÂé×í¶¯Îï(裬´óÊó)ÓÐѸËÙ¶øÃ÷ÏԵĽµÑ¹×÷Óã¬Æä½µÑ¹²»ÊÇͨ¹ýÌá¸ßÃÔ×ßÉñ¾­»ò×èÖͦÁÊÜÌå¶øÊµÏÖ£¬Ò²Ã»ÓÐÉñ¾­½Ú×è¶Ï×÷Óã¬ÓëÐÄÔàÒÖÖÆ¹ØÏµÒ²²»´ó¡£ÓÃiv²»Ó°ÏìѪѹµÄ¼ÁÁ¿0£®5mg£¯kg¸øÃ¨×µ¶¯Âö×¢ÉäÓÐÃ÷ÏԵĽµÑ¹£¬±íÃ÷Æä½µÑ¹ÓÐÖÐÊàÒòËØ²ÎÓë¡£¶Ô×è¶ÏÁ½²à¾±×ܶ¯Âö(Bco)¼Óѹ·´Ó¦»Ø¹éÖ±ÏßÓÐÇá¶ÈÒÖÖÆ×÷Ó㬵«ÔÚòùòð¸ð¼îʹѪѹ½µµÍʱ£¬Bco¼Óѹ·´Ó¦ÉÔ¼ÓÇ¿£¬Õâ¿ÉÄÜÊÇÓÉÓÚѪѹѸËÙϽµ¼¤»îÁËѹÁ¦¸ÐÊÜÆ÷£¬·´ÉäÐÔ½»¸ÐÉñ¾­ÐË·ÜÑÚ¸ÇÁËòùòð¸ð¼î½ÏÈõµÄÒÖÖÆ¼Óѹ·´Ó¦µÄ×÷Ó᣸øºãÁ÷¹à×¢µÄèºóÖ«¶¯Âö×¢ÉäСÁ¿òùòð¸ð¼î(0£®3mg£¯kg)£¬¹àעѹÁ¢¼´Ã÷ÏÔϽµ£¬¸ù¾Ý×èÁ¦(R)ÓëѹÁ¦(P)³ÉÕý±È£¬ÓëÁ÷Á¿(Q)³É·´±ÈµÄ¹«Ê½R¡£¡£cp£¯Q£¬µ±ºãÁ÷¹àעʱѪÁ÷Á¿ÊǺ㶨µÄ£¬¼´QΪ³£Êý£¬´Ëʱ¹àעѹP¼´Ï൱ÓÚºó֫Ѫ¹Ü×èÁ¦£¬Òò´Ë£¬òùòð¸ð¼îµÄ½µÑ¹×÷ÓÃÓëÖ±½ÓÀ©ÕÅѪ¹Ü½µÑ¹ÍâÖÜ×èÁ¦Óйء£´ó¼ÁÁ¿(5¡«10mg£¯kg)¿É×è¶Ïè¾±ÉÏÉñ¾­½ÚµÄ³å¶¯´«µ¼£¬Ò²¿ÉÄÜÊÇÒýÆð½µÑ¹µÄÒ»¸öÔ­Òò[12£¬13]¡£òùòð¸ð¼îÄÜÊæÕÅÒÑΪNA¡¢¸ßK+ÊÕËõµÄÍúʹóÊóµÄÐØÖ÷¶¯ÂöÌõ£¬Ê¹NA¡¢KClºÍCaCl2µÄ¼ÁÁ¿£­Ð§Ó¦ÇúÏßÓÒÒÆ£¬×î´óЧӦ½µµÍ¡£ËüËɳÚѪ¹Üƽ»¬¼¡µÄ×÷ÓÃÊÇͨ¹ý¶Ô¿¹Ca2+ʵÏֵġ£¿ÉÄÜÊÇÎÞÑ¡ÔñÐÔµØ×è¶ÏµçλÒÀÀµºÍÊÜÌ弤»îµÄCa2+ͨµÀ£¬¶øÎìÂö°²ÔòÑ¡ÔñµØ×è¶ÏǰÕß[14]¡£ ¢ÛÒÖÖÆÑªÐ¡°å¾Û¼¯×÷Óà ¼ÒÃâÌåÄÚÍâ¸øÒ©òùòð¸ð¼îÄÜÃ÷ÏÔÒÖÖÆADP(¶þÁ×ËáÏÙÜÕ)¡¢AA(»¨ÉúËÄÏ©Ëá)Coll(½ºÔ­)ÓÕµ¼µÄѪС°å¾Û¼¯£¬´æÔÚ¼ÁÁ¿ÒÀÀµ¹ØÏµ¡£ÔÚ×î´ó¾Û¼¯ÂʼõСµÄͬʱ£¬´Ù½øADP¡¢AAÓÕµ¼µÄѪС°å¾Û¼¯½â¾Û£¬¼õÂýCollÓÕµ¼ÑªÐ¡°å¾Û¼¯ËÙ¶È¡£¶Ô3ÖÖ´Ù¾Û¼¯¼ÁµÄÒÖÖÆÎÞÃ÷ÏÔÑ¡ÔñÐÔ£¬ÌáʾÆä×÷ÓûúÀí¿ÉÄÜÓë¸ÆÞ׿¹×÷ÓÃÓйØ[15]¡£òùòð¸ð¼î¶Ô»¨ÉúËÄÏ©ËáÓÕ·¢µÄСÊóͻȻËÀÍö¾ßÓÐÃ÷ÏÔ±£»¤×÷Óã¬ÒÖÖÆAAÓÕµ¼µÄѪС°å¾Û¼¯ºÍѪС°åÄÚTXA2µÄ²úÉú£¬µ«²»Ó°ÏìѪС°åÄÚ»ù´¡cAMPˮƽ¡£ËµÃ÷Æä×÷ÓÃÓëÒÖÖÆ»¨ÉúËÄÏ©Ëá´úл£¬¼õÉÙTXA2²úÉúÓйأ¬¶øÓëcAMPÎÞ¹Ø[16]¡£ÕâÒ»×÷ÓÿÉÓÃÒÔÔ¤·À¶¯ÂöѪ˨Ðγɣ¬×èÒÖѪС°å»îÐÔÔö¸ßËùÖµĹÚÐIJ¡ºÍ¶¯ÂöÖàÑùÓ²»¯µÄ·¢ÉúºÍ·¢Õ¹£¬·ÀֹijЩÐÄÂÉʧ³£ÒýÆðµÄ¸½±ÚѪ˨ºÍѪÁ÷¶¯Á¦Ñ§ÎÉÂÒÓÕµ¼µÄѪС°å¼¤»î£¬ÓÐÒæÓÚÖÎÁÆÈ±ÑªÐÔÐÄÔಡÓÕ·¢µÄÐÄÂÉʧ³£[15]¡£ ¢Ü¿¹Ö×Áö×÷Óà ÃÀÀ¼ÊԹܷ¨òùòð¸ð¼î¶Ô°×Ѫ²¡Ï¸°ûÓÐÒÖÖÆ×÷Ó᣶ÔÍø×´ÄÚÆ¤ÏµÍ³¹¦ÄÜÓÐÐË·Ü×÷ÓÃ[17]¡£¡°É½¶¹¸ù¡±(δ¼ø¶¨Æ·ÖÖ)¶Ô¼±ÐÔÁܰÍϸ°ûÐͰ×Ѫ²¡ºÍ¼±ÐÔÁ£Ï¸°ûÐͰ×Ѫ²¡ºÍ¼±ÐÔÁ£Ï¸°ûÐͰ×Ѫ²¡»¼Õß°×ϸ°ûµÄÍÑÇâø¾ùÓÐÒÖÖÆ×÷ÓÃ[18]¡£ ¢Ý¶ÔÏû»¯ÏµÍ³µÄÓ°Ïì òùòð¸ð¼îÓÐÒÖÖÆÎ¸Òº·ÖÃÚ×÷Ó㬶ÔÓÚʵÑéÐÔÀ£Ññ´óÊó¹à·þºó¶ÔÀ£ÑñÓÐÃ÷ÏÔÐÞ¸´×÷ÓÃ[19]¡£òùòð¸ð¼îÄÜÒÖÖÆÃâÀëÌåС³¦µÄÊÕËõ¡¢½µµÍÔÚ볦µÄÕÅÁ¦£¬Óн⾷×÷ÓÃ[13]¡£ ¢ÞÒÖ¾ú×÷Óà òùòð¸ð¼î¶Ô½ðÆÏ¾ú¡¢Ðõ×´±íƤѢ¾ú¼°°×É«ÄîÖé¾úÓÐÒÖÖÆ×÷ÓÃ[17]¡£ ¢ßÆäËü×÷Óà òùòð¸ð¼îΪ¼¾°·»¯ºÏÎÓÐÁ¼ºÃµÄ¼¡ÈâËɳÚ×÷ÓÃ(ÃⴹͷÊÔÑé)¡¢Æä×÷ÓÃÐÔÖÊÓë¼ý¶¾Í¬[14]¡£ÔÚëàÊó³ÊÏÖÒ»¶¨¾ÖÂé×÷ÓÃ[10]¡£

Ò©´ú¶¯Á¦Ñ§ ´óÊóigòùòð¸ð¼îºó1h£¬¸Î¡¢·ÎºÍÄÔ×éÖ¯ÖÐÒ©Á¿´ï¸ß·å£¬Æ¢º¬Ò©Á¿ÔÚ12h´ï¸ß·å£¬¸Î¡¢Æ¢¡¢Éöº¬Ò©Á¿½Ï¸ß¡¢ÄÔ×éÖ¯½ÏÉÙ[19]¡£¼ÒÃâiv10mg£¯kgºó»æÖƵÄѪŨÇúÏßΪ¶þÊÒ¿ª·ÅʽģÐÍ¡£´Ó·Ö²¼ÏàµÄ°ëË¥ÆÚ¿ÉÒÔ¿´³öɽ¶¹¸ù¼îÔÚѪÖзֲ¼ºÍÏû³ý¶¼½Ï¿ì£¬ÌرðÊǦÁÏà·Ö²¼Ê®·ÖѸËÙ£¬1hºóÿ¸ô6£®506hѪŨ¼õÉÙÒ»°ë£¬¼´Ñª½¬°ëË¥ÆÚÊÇ6£®506h¡£ÖÐÑëÊҵķֲ¼ÈÝ»ýV¡£=8£®56L£¯Kg£¬¿ÉÍÆ²âÒ©Îï´ó²¿·Ö·Ö²¼ÔÚÆäËü×éÖ¯Àfc=0£®17£¬½øÒ»²½ËµÃ÷Ѫ½¬Õ¼×ÜÒ©Á¿ºÜÉÙ£¬½ö1£¯6¡£Çå³ýºÜ¿ì£¬Ò»´Îiv£¬²»×ã20hÈ«²¿Çå³ý[20£¬21]¡£Ö÷Ҫͨ¹ý·à±ãÅųö£¬ÉÙ²¿·Ö¾­ÄòºÍµ¨Åųö£¬igºó48hÄò·à×ÜÅÅÒ©Á¿Îª¸øÒ©Á¿µÄ20%×óÓÒ[19£¬21]¡£

¶¾ÐÔ£ºòùòð¸ð·ÓÐÔ×Ü¼î¸øÐ¡ÊóivºÍigµ¥´Î¸øÒ©µÄLD50¡£·Ö±ðΪ36£®7¡À3£®3ºÍ608¡À82mg£¯kg£¬´óÊóÒÀ´ÎΪ45£®1¡À3£®2ºÍ£¾3000mg£¯kg£¬´óÊóºÍÈ®µÄ³¤ÆÚ(3mo)¶¾ÐÔÊÔÑé±íÃ÷δ¼ûÃ÷ÏÔ¶¾ÐÔ¡£´ó¼ÁÁ¿(Ï൱ÓÚÔ¤ÆÚÁÙ´²ÓÃÁ¿5¡«7±¶Ê±)ÓÐÒ»¶¨¸ÎÔà¶¾ÐÔ[22]¡£ èiv MLDΪ35rng£¯kg£¬¸øÒ©ºó¶¯Îï(ÌØ±ðÊÇСÊóºÍÍÜ)±íÏÖÈ«ÉíÐË·Ü[13]¡£ÁÙ´²¹Û²ì¸±×÷ÓÃС[23]¡£

²Î¿¼ÎÄÏ×

[1] ÖйúÒ©Àíѧ±¨ 1984£»5(1)£º20¡£
[2] Î人ҽѧԺѧ±¨ 1983£»12(4)£º376¡£
[3] ÖйúÒ©ÀíͨѶ 1989£»6(3¡¢4)£º33¡£
[4] ÖйúÒ©ÀíͨѶ 1989£º6(3¡¢4)£º33¡£
[5] ÖйúÒ©ÀíͨѶ 1989£»6(3¡¢4)£º32¡£
[6] ҩѧѧ±¨ 1983£º18£º660¡£
[7] ÖйúÒ©ÀíͨѶ 1989£»6(3¡¢4)£º32¡£
[8] ÖйúÒ©Àíѧ±¨ 1985£º6(1)£º30¡£
[9] ÖйúÒ©Àíѧͨ±¨ 1989£»5(3)£º151¡£
[10] Î人ҽѧԺѧ±¨ 1983£»12(3)£º280¡£
[11] Î人ҽѧԺѧ±¨ 1984£»13(3)£º205¡£
[12] Î人ҽѧԺѧ±¨ 1982£»11(3)£®75¡£
[13] ÖÐÒ©´ó´Çµä£®Ï²ᣮÉϺ£ÈËÃñ³ö°æÉ磬1977£º2613¡£
[14] ÖйúÒ©Àíѧ±¨ 1982£»3(3)£º178¡£
[15] Î÷°²Ò½¿Æ´óѧѧ±¨ 1986£»7(1)£º31¡£
[16] ÖйúÒ©Àíѧͨ±¨ 1988£»4(1)£º47¡£
[17] È«¹úÖвÝÒ©»ã±à£®ÈËÃñÎÀÉú³ö°æÉ磬1977£º181¡£
[18] ҩѧͨ±¨ 1983£»18(5)£º22¡£
[19] ҩѧѧ±¨ 1982£»17(11)£º863¡£
[20] Î人ҽѧԺѧ±¨ 1983£»12(3)£º290¡£
[21] ÖйúÒ©ÀíͨѶ 1990£»7(1)£º18¡£
[22] ÖлªÐÄѪ¹Ü²¡ÔÓÖ¾ 1984£»12(4)£º265¡£

Ò©ÐÔ

ÐÔζ£º¿à£¬º®¡£

¹é¾­£ºÈëÐÄ¡¢·Î¾­¡£

¹¦Ð§£ºÇåÈȽⶾ£¬ÏûÖ×ֹʹ¡£

Ö÷ÖΣºÑʺíÖ×¶¾£¬¿ÚÇ»Ñ×£¬·ÎÑ×£¬Æø¹ÜÑ×£¬³¦Ñ×£¬Á¡¼²£¬Éß³æÒ§ÉË£¬ÖÌ´¯Ö×Í´¡£

Ó÷¨ÓÃÁ¿£ºÄÚ·þ£º¼åÌÀ£¬3¡«9g¡£ÍâÓ㺵··ó»¼´¦¡£

ÁÙ´²Ó¦ÓÃ

µ¥·½Ó¦ÓãºÖйúҽԺҩѧÔÓÖ¾ 1988£»(6)£º¡°ÖÎÍâÖÌ£º±±¶¹¸ù£¬¼ÓË®500ml£¬Öó·Ð30·ÖÖÓ£¬ÂËȡҩҺ£¬½«É´²¼½þÒ©Òººó£¬³ËÈÈ·ó»¼²¿£¬±£³Ö30·ÖÖÓ¡£´ÎÈÕ½«Ê£ÓàÒ©Òº¼ÓÈÈ£¬ÔÙÈȷ󡣡±

²Î¿¼ÎÄÕÂ