药材名称:桧木
名称出处:《拉汉药用植物名称和检索手册》
概况基源:为柏科扁柏属植物日本扁柏的叶和树脂。扁柏属全世界有6种;中国有1种、1变种,均产台湾。另引入栽培4种。
原植物:日本扁柏Chamaecyparis obtusa(Sieb.et Zucc.)Endl.,又名白松(青岛),钝叶扁松、扁松(台湾)。
形态:乔木,高达40m,胸径达3m;树冠尖塔形,树皮淡红褐色。较平滑,裂成薄条片脱落;枝条平展,红褐色。鳞形叶较薄,先端锐尖,长1~1.2mm,绿色,小枝下面之叶被白粉,干时变红褐色或褐色,侧面之叶斜三角状卵形。球果圆球形,径10~11mm,熟时红褐色,种鳞4~5对。种子扁,倒卵圆形,两侧边缘有窄翅,稀具三棱,棱上有窄翅,红褐色,微有光泽,连翅长3~3.5mm,宽2~3mm。(图见《中国高等植物图鉴》.第1册.318页.图636)
生境与分布:为中国特有树种。生于海拔1300~2800m的气候温和湿润、雨量多、相对湿度大、富腐殖质的黄壤、灰棕壤及黄棕壤土上。分布于中国台湾中央山脉北部和中部。
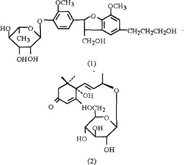
化学性质叶含挥发油[1]、α和β蒎烯、柠檬油烯、肉桂酸(Cinnamic acid)、龙脑乙酸酯(Bornylacetate)[2]。叶中含5种苯丙基化合物的甙类:松柏甙(Coniferin)、丁香甙(Syriingin)、去氢双松柏醇-4-β-葡萄糖甙(Dehydrodiconiferyl alcohol-4-β-glucoside)、Citrusin C、2,3-Dihydro-2-(4′-α-Lrhamnopyranosyl-3-methyoxy phenyl)3-hydroxymethyl 7-methoxy-5-ben zofuranpropanol(1)、长春花甙(Roseoside,Vomifoliol-9-O-β-glucopyranoside)(2)、(6R,7E,9R)-9-Hydroxymegastigma-4,7-dien-3-one-9-O-β-Dglucoside,(2E,6R)-2,6-二甲基-2,7-辛二烯-6-醇-β-D-吡喃葡萄糖甙[(2E,6R)-2,-6-Dimethy-2,7-octadien-6-ol-l-O-β-D-glucopyranosi-de][4]。
参考文献
[1] CA 1987;107:238807w。
[2] CA 1988;109:216022a。
[3] Agric Biol Chem 1990;54(-2):557。
[4] Agric Biol Chem 1990;54(2):555。
药性
功效:叶煎去郁、解热、利气、镇咳、利尿消毒。
主治:吐血、腹痛、淋病及肺病。