豨莶草

概况

异名:猪膏草(《本草拾遗》),粘糊草(《救荒本草》),希仙、虎莶(《纲目》),肥猪苗(《分类草药性》),绿莶草(《中药志》),棉苍狼(《江苏植物药志》),大叶草(《中药材手册》),虾蚶草(《广西中药志》)。

基源:为菊科豨莶属植物豨莶、腺梗豨莶和毛梗豨莶的全草。豨莶属全世界约5种,中国3种,皆入药。

原植物:豨莶Siegesbeckia orientalis L.。腺梗豨莶S.pubescens Makino和毛梗豨莶S.glabrescens Makino

历史:豨莶草为较常用中药,自《唐本草》以来,历代各本草皆有收载,《本草拾遗》称猪膏草,《纲目》:“猪膏草素茎有直棱,兼有斑点,叶似苍耳而微长,似地菘而稍薄,对节而生,茎叶皆有细毛……八、九月开小花,深黄色,中有长子,如同蒿子,外萼有细刺粘人。”考本草描述和附图以及现商品药材原植物,都是菊科豨莶属植物,本属中国产3种,疗效相近,历来均作豨莶草同等入药,《中国药典》除63年版仅收腺梗豨莶1种外,各版及《中药志》等所载豨莶草,也都同样收入中国产3种豨莶。

形态:豨莶:一年生草本。茎直立,高30~100cm,被白色柔毛。基部叶花期枯萎;中部叶对生,基部宽楔形;下延成翅柄;叶片三角状卵形或卵状披针形,长4~10cm,宽1.8~6.5cm,顶端渐尖,边缘有规则的浅裂或粗齿,纸质,表面绿色,背面淡绿色,具腺点,两面被毛,3出脉,侧脉及网脉明显;上部叶渐小,近无柄,叶片卵状长圆形,边缘浅波状或全缘。头状花序径15~20mm,多数聚生枝端,组成圆锥状花序,花序梗长1.5~4cm,密生短柔毛;总苞宽钟状,总苞片2层,叶质,背面被紫褐色头状具柄的腺毛,外层苞片5~6枚,线状匙形或匙形,长8~11mm,宽约1.2mm,内层苞片卵状长圆形或卵圆形,长约5mm,宽1.5~2.2mm;缘花舌状,雌性,中央花管状,两性,顶端有4~5卵圆形裂片。瘦果倒卵形,长3~3.5mm,宽1~1.5mm,具4棱,顶端有灰褐色环状突起。花果期4~11月。(图见《中国高等植物图鉴》.第4册.490页.图6393)

生境与分布:生于海拔110~2700m的山野荒地、灌丛、林缘或林下,也常见于耕地中。分布于中国陕西、甘肃、江苏、浙江、安徽、江西、湖南、福建、台湾、广东、广西、四川、贵州、云南等省区。欧洲、俄罗斯高加索、朝鲜、日本、东南亚及北美热带、亚热带及温带地区也有分布。

腺梗豨莶与豨莶区别在于:中部叶的叶片卵圆形或卵形,边缘有尖头齿;花梗和分枝的上部被紫褐色头状具柄的腺毛和长柔毛。花果期5~10月。(图见《中药志》.第4册.740页.图718) 生于海拔160~3400m的山坡、山谷林缘、灌丛中、河谷、溪边、河槽湿地、旷野及耕地边。分布于吉林、辽宁、河北、山西、河南、甘肃、陕西、江苏、浙江、安徽、江西、湖北、四川、贵州、云南及西藏等省区。

毛梗豨莶与以上两种主要区别:植株较瘦弱,高约50cm;茎上部分枝不呈二岐状;头状花序较小,径10~18mm;瘦果长约2.5mm。花果期4~11月。(图见《中药志》.第4册.742页.图720) 生于海拔300~1000m的山坡灌丛中、路边、旷野荒地。分布于中国浙江、福建、安徽、江西、湖北、湖南、广东、四川、云南等省区。日本、朝鲜也有分布。

生药

栽培:宜温暖、潮湿的环境,怕干旱,忌水涝。以肥沃疏松的轻壤土为好。用种子繁殖,在4月上旬播种,条播或撒播,条播行距33cm,开浅条沟,将种子拌入细土或草木灰后匀撒,每亩用种量0.5kg。播后覆土1~2cm,10~15天出苗。为经济利用土地,也可育苗移栽。当苗高7~10cm时,结合中耕除草,分批间苗,以33cm株距定苗。生长期中注意松土除草,5~6月追肥2次,以氮肥为主。经常浇水,保持土壤湿润,注意培土壅根,以防倒伏。

采集:夏、秋季开花前或花期均可采收,割取地上部分全草,切段或扎成小捆,晒干或阴干。药材主产于湖南、湖北、江苏。

鉴别

性状:多扎成30~50cm的束。茎略呈方柱形,分枝对生,有环形的叶柄残痕,表面灰绿色、黄绿色或紫棕色,有纵沟及细纵纹,被灰色柔毛;节明显,略膨大;质轻而脆,易折断,断面黄白色或常绿色,髓部宽广,类白色,中空。叶对生,多破碎而不完整,完整叶片常皱缩。卷曲,展平后呈卵圆形,灰绿色,边缘有钝锯齿,两面皆有白毛柔毛,尤以叶脉处为多,主脉3出。在茎顶或叶腋间有时可见黄色的头状花序,总苞片匙形,总苞上可见点状的腺毛。气微,味微苦。

以叶多、枝嫩、色深绿色为佳。

显微 腺梗豨莶粉末淡灰绿色。 ①非腺毛1~8细胞,顶端细胞较细长,中部细胞有的狭窄,基部直径25~79μm,长114~833μm,壁稍厚或厚薄不匀,厚可至40μm,层纹可见。另有薄壁非腺毛,5~9细胞,基部直径14~36μm,长109~200μm,有的细胞皱缩。 ②多列柄腺毛完整者头部类圆形,侧面观十数个至百余个细胞,直径49~302μm,细胞含淡黄色或黄棕色物;柄部侧面观十数个至70余个细胞,排成2至十数列,长143~672μm,近基部直径44~510μm。 ③腺毛顶面观呈类圆形或矩圆形,4或6细胞,两两相对排成2或3层,短径42~49μm,长径44~55μm,细胞含淡黄色或淡黄棕色分泌物;侧面观细胞扁平,2或3层,角质层与细胞间距较大。 ④叶表皮表面观垂周壁不规则波状弯曲。气孔类圆形或椭圆形,直径18~27μm,长27~38μm,副卫细胞3~6个,不定式。 ⑤草酸钙簇晶存在于叶肉细胞中,直径7~15μm。 ⑥导管为具缘纹孔、螺纹和网纹导管,直径11~87μm;具缘纹孔排列较密,六角形或类长圆形,或横向延长至20μm;有的螺纹导管粗大,螺纹增厚数条并列。 ⑦果皮纤维成束,淡黄色或黄色。呈长条形,直径7~17μm,壁厚2~4μm,具单纹孔。果皮纤维束常与色素层连结.细胞界限不清,色素细胞颗粒,分布不匀。 ⑧木纤维成束或散离,较长,直径9~24μm,壁稍厚,纹孔人字形或斜裂缝状。 ⑨种皮表皮细胞表面观呈不规则形,延长,壁密具条状或网状增厚纹理。 ⑩花粉粒呈类圆形,直径27~29μm,具3孔沟,大多不明显,表面有刺,刺长3~5μm.每裂片3~5刺。 ⑾花冠表皮细胞淡黄色。下表皮细胞呈长方形,壁薄,波状弯曲。(图见徐国钧等《中药材粉末显微鉴定》.727页.图357)

加工炮制:制豨莶草取净豨莶草段用黄酒拌匀,待酒吸干,用武火蒸3小时,焖12小时,如法反复蒸至黄色,取出。每豨莶草100kg,用黄酒20kg。

贮藏:置通风干燥处。

化学性质

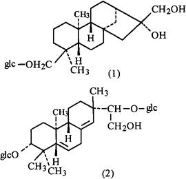
腺梗豨莶含奇任醇(Kirenol)[1,3]、17-羟基-16α-(-)-栲利酸[17-Hydroxy-16α-(-)kauran-19-oic acid]及其各种酯[1],二羟-(1)-栲利酸[16,17-Dihydroxy-16β-(-)-kauran-l9-oic acid][2]、豨莶甙(Siegesbeckioside)(1)、豨莶醇(Siegesbeckiol)、豨莶酸(Siegesbeckic acid)、映栲利三醇(entKauran-16β,17,18-triol)、映16β,17-二羟基栲利酸(ent-16β,17-Dihydroxv-kauran-19-oic acid)、映17-羟基栲利酸(ent-16αH,17-Hydroxykauran-19-oic acid)、大花埃斯菊酸(Grandifloric acid)[3]

豨莶含栲利烷类[4]、海松烷类[1,5,6]、黑柄菊内酯类(Melampolides)[6,7]、倍半萜内酯[8]、麝香草氢醌二甲酯(Thymohydroquinonedimethylether)、植物醇(Phytol)、8β-异丁酰氧基雷诺素(8β-Isobutyryloxyreynosin)、大牻牛儿内酯(Germacranolide)、黑柄菊内酯(Melampolide)、9β-羟基-8β-异丁酰氧基木香烯内酯(9β-Hydroxycostunolide)、9β-羟基-8β-甲基丙烯酰氧基木香烯内酯(9β-Hydroxy-8β-methacryloyoxycodtunolide)、14-羟基-8β-异丁酰氧基木香烯内酯(14-Hydroxy-8β-isobutyrvloxycostunolide)、8β-异丁酰氧基-14-醛-木香烯内酯(8β-lsobutyryloxy-14-al-costunolide)、9β,14-二羟基-8β-异丁酰氧基木香烯内酯(9β,14-Dihydroxy-8β-isobutyryloxycostunolide)、8β-异丁酰氧基-1β,10α-环氧木香烯内酯(8β-Isobutyryloxy-1,10α-epoxycostunolide)、9β-羟基-8β-异丁酰氧基-1β,10α-环氧木香烯内酯(9β-Hydroxy-8β-isobutyryloxy1β,10α-epoxycodtunolide)、8β,9β-二羟基-1β,10α-环氧基-11β,13-二氢木香烯内酯(8β,9β-Dihydroxy-1β,10α-epoxy-11β,13-dihydro-costunolide)、14-羟基-8β-异丁酰氧基-1β,10α-环氧木香烯内酯(14-Hydroxy-8β-isobutyryloxy-1β,10α-epoxycostunolide)、15-羟基-9α-乙酰氧基-8β-异丁酰氧基-14-氧代没食子内酯(15-Hydroxy-9α-acetoxy-8β-isobutyryloxy-14-oxomelampolide)、9α,15-二羟基-8β-异丁酰氧基-14-氧代没食子内酯(9α,15-Dihydroxy-8β-isobutyryloxy-14-oxo-mela-mpolide)、15-羟基-8β-异丁酰氧基-14-氧代黑柄菊内酯(15-Hydroxy-8β-isobutyryloxy-14-oxo-melampolide)、19-乙酰氧基-12-氧代-10,11-二氢牻牛儿基橙花醇(19-Acetoxy12-oxo-10,11-dihydrogeranylnerol)、19-乙酰氧基-15-氢过氧基-12-氧代-13.14E-脱氢-10,11,14,15-四氢牻牛儿基橙花醇(19-Acetoxy-15-hydroperoperoxy-12-oxo-13,14E-dehydro-10,11,14,15-tetrahydrogeranylnerol)、19-乙酰氧基-15-羟基-12-氧代13,14E-脱氢-10,11,14,15-四氢牻牛儿基橙花醇(19-Acetoxy-15-hydroxy-12-oxo-13,14E-dehydro10,11,14,15-tetahydrogeranylnerol)、2β,15,16-三羟基-映-海松-8(14)-烯[2β,15,16-Trihydroxy-ent-pimar-8(14)-ene]、15,16-二羟基-2-氧代-映-海松-8(14)-烯[15,16-Dihydroxy-2-oxo-ent-pimar-8(14)-ene]、15,16,18-三羟基-2-氧代-映-海松-8(14)烯[15,16,18-Trihydroxy-2-oxoent-pimar-8(14)-ene][9]

毛梗豨莶含东豨莶精醇(Darutigenol),东豨莶甙(Darutoside)、新东豨莶甙(Neodarutoside)(2)[10]、豨莶四醇(Kirenol)、16-乙酰豨莶四醇(16-Acetylkirenol)、异亚丙基豨莶醇(Isopropylidenkirenol)[11]

参考文献

[1] Tetrahedron Lett 1973;50:4991。
[2] CA 1957;51:14907e。
[3] Phytochemistry 1992;31(3):917。
[4] Tetrahedron Lett 1969;46:4801。
[5] Compt Rend 1957;244:472。
[6] Phytochemistry 1980;19:323。
[7] Phytochemistry 1979;18:992。
[8] Khim Prir Soedin 1976;12:394。
[9] Phytochemistry 1991;30:1579。
[10] 药学学报 1989;24(11):833。
[11] Planta Med 1991;57:395。

药理

①降压及扩张血管作用 腺梗豨莶萜二醇酸50mg/kg ig,连续10d,对肾型高血压大鼠有降压作用[1]。腺梗豨莶醚提物10mg/ml,以0.5ml注入离体兔耳灌流液,能使保留神经的兔耳血管舒张,并能阻断刺激神经所引起的缩血管反应,但对去神经的离体兔耳无影响,因而其血管舒张作用是通过阻断交感缩血管神经的影响而产生的,又对去甲肾上腺素的缩血管作用不能对抗,其作用部位似不在血管平滑肌的效应细胞[2]。 ②抗炎作用 毛梗豨莶与臭梧酮1∶1煎剂,10g/kg ig,连续2d,对甲醛或蛋清引起的大鼠关节肿胀有抑制作用,但二药单独应用,均无抗炎作用[3]。 ③对免疫功能的影响 100%豨莶草煎剂0.2ml/只ip,连续6d,可使小鼠胸腺、脾脏缩小,腹腔巨噬细胞吞噬功能降低,血淋巴细胞数减少,Ea和Et花环形成率减少,血清溶菌酶含量降低,血清抗体滴度降低,表明豨莶草对细胞免疫和体液免疫均有抑制作用[4]

参考文献

[1] CA 1976;84:130259m。
[2] 白求恩医科大学学报 1979;5(3):17。
[3] 药学学报 1964;11(10):708。
[4] 中国中药杂志 1989;14(3):44。

药性

性味:苦,寒。 ①《唐本草》:“味苦,寒。有小毒。” ②《本经逢原》:“苦微辛,寒。有小毒。” ③《中草药学》:“苦,寒。有小毒。”

归经:入肝、脾、肾经。 ①《雷公炮制药性解》:“入肝、肾二经。” ②《本草汇言》:“入手、足少阳经。” ③《本草再新》:“入心、脾二经。” ④《中草药学》:“入肝、肾经。”

功效:祛风湿,利筋骨,降血压。

主治:四肢麻痹,筋骨疼痛,腰膝无力,疟疾,急性肝炎,高血压病,疔毒肿毒,外伤出血。 ①《唐本草》:“主热,烦满不能食,生捣汁服三、四合。”“主金疮,止痛,断血,生肉,除诸恶疮,消浮肿,捣封之。汤渍、散敷并良。” ②《本草拾遗》:“主久疟,痰饮,生捣汁服,得吐出痰;亦碎敷蜘蛛咬,虫蚕咬,蠼螋溺疮。” ③《开宝本草》:“疗虎及狗咬疮。” ④《本草图经》:“治肝肾风气,四肢麻痹,骨间疼,腰膝无力者。亦能行大肠气。”“服之补虚,安五脏,生毛发。兼主风湿疮,肌肉顽痹,妇人久冷,尤宜服用之。” ⑤《履巉岩本草》:“医软瘫风疾,筋脉缓弱。为末,酒调敷。” ⑥《滇南本草》:“治诸风、风湿症,内无六经行症,外见半身不遂,口眼歪斜,痰气壅盛,手足麻木,痿痹不仁,筋骨疼痛,湿气流痰,瘫痪痿转,风湿痰火,赤白癜风,须眉脱落等症。” ⑦《本草经疏》:“祛风除湿,兼活血之要药。” ⑧《分类草药性》:“明目,黑发,滋阴养血。” ⑨《贵州民间方药集》:“润肺止咳。” ⑩《广西中药志》:“其叶外敷虾蚶疮(生两指隙间)。” ⑾广州部队《常用中草药手册》:“安神降压,祛风止痛。治神经衰弱,失眠;高血压;风湿痹痛;蛇虫咬伤。” ⑿《中草药学》:“祛风湿,通络,降血压。主治:关节疼痛;中风后四肢麻木;高血压。” ⒀《全国中草药汇编》:“外用治疮疔肿毒。” ⒁《中药大全》:“祛风湿,强筋骨。主治风湿关节炎,四肢麻痹,腰膝无力。”

用法用量:内服:煎汤,9~12g(大剂30~60g);捣汁或入丸、散。外用:捣敷、研末撒或煎水熏洗。 《全国中草药汇编》:“鲜品捣烂敷患处。”

使用注意:阴血不足者忌服。 ①《唐本草》:“多则令人吐。” ②《本草经疏》:“凡病人患四肢麻痹,骨间疼,腰膝无力,由于脾、肾两亏,阴血不足,不因风湿所中而得者,不宜服之。” ③《本草述》:“忌铁。”

临床应用

配伍应用:①配臭梧桐,治中风口眼㖞斜,语言蹇涩,半身不遂及风痹走注疼痛。 ②配夏枯草,治肝阳上亢,头痛,头晕,目眩,脚麻之高血压病。 ③配威灵仙,治风湿筋骨疼痛,四肢麻木。 ④配乳香、白矾,治痈疽肿毒,一切恶疮。 ⑤配钩藤、苍耳子,治神经衰弱、失眠。 ⑥配千里光、虎杖,治风疹、湿疹。 ⑦配栀子、金钱草,治湿热黄疸。 ⑧配白鲜皮,治湿热疮毒。

方选和验方: ①豨莶散(《活人方汇编》)治风、寒、湿三气着而成痺,以致血脉凝涩,肢体麻木,腰膝酸痛,二便燥结,无论痛风,痛痺,湿痰,风热,宜于久服,预防中风痿痺之病:豨莶草不拘多寡,去梗取叶,晒干,陈酒拌透,蒸过晒干,再拌再蒸,如法几次,晒干,为细末,贮听用,蜜丸,早空心温酒吞服12~15g。 ②豨莶丸(《张氏医通》)治疠风脚弱:豨莶草(五月取赤茎者,阴干,以净叶蜜酒九蒸九晒)500g,当归、芍药、熟地各30g,川乌(黑豆制净)18g,羌活、防风各30g。为末,蜜丸。每服6g,空心温酒下。 ③《乾坤生意秘韫》:“治发背丁疮:豨莶草、五叶草(即五爪龙)、野红花(即小蓟)、大蒜等份。擂烂,入热酒200ml,绞汁服,得汗效。” ④火枚丸(《世医得效方》)治风气行于肠胃泄泻:火枚草,为末,醋糊丸,梧子大。每服30丸,白汤下。 ⑤《中国民间实用医方》:“治手指麻木:豨莶草30g,生地15g,甘草6g,水煎服,每日1剂。” ⑥《中医临床验方集》:“治夜盲症:豨莶草花叶12g,苍术18g。上2味共研细末,每次用药末3g同猪肝20g蒸熟服用,每日服1次。蒸猪肝时勿放油盐,待服时放少量酱油调味即可。” ⑦豨桐丸(《四川中药志》)治中风后遗症,口眼歪斜,半身不遂,并可预防中风:豨莶草30g,臭梧桐20g,研末,水丸或蜜丸,每次服10g,每天3次。 ⑧豨桐片(《中国药物大全》)治风湿性关节炎及半身不遂:豨莶草、梧桐叶制成片剂,每片0.25g,每日3次,每次4片。 ⑨《中国中医秘方大全》:“治脑血栓形成:豨莶草15g,老鹳草12g,桑枝20g,牛膝12g,秦艽12g,木瓜10g,地龙10g,海风藤10g,丹参12g,赤芍10g,地鳖虫10g,全蝎6g,僵蚕10g,水煎服,连服2个月以上者,改为隔日1剂。” ⑩《浙江民间常用草药》:“治疖肿:腺根豨莶全草15~30g,野菊花15g,苍耳全草12g,水煎服。” ⑾《全国中草药新医疗法展览会技术资料选编·传染病》:“治急性黄疸型传染性肝炎:豨莶草15g,山栀子3g,铁锈钉2枚。按病情可加三叉枪(三叶鬼针草)适量。加水800ml,煎成300ml。每天1剂,2次煎服。” ⑿中西医结合杂志 1983;(5):“治白癜风:豨莶草、天花粉、苍耳草、枸骨根、菝葜、六月雪各50g,白蒺藜40g,麦冬35g,紫草15g,水煎服,每日1剂,3周为1疗程,疗程间隔1周。” ⒀浙江中医杂志 1988;(8):“治坐骨神经痛:豨莶草30g,苍术15g,黄柏9g,牛膝15g,水煎服。” ⒁浙江中医杂志 1990;(3);“治扁平疣:豨莶草30g,防风、蝉蜕、黄芩、米仁各10g,一般服药7~14剂,扁平疣消退而痊愈。” ⒂豨钩地龙汤(浙江中医杂志 1991;(7))治子痫:豨莶草、钩藤各35g,地龙15g,水煎频服,每日1~2剂,不能自服者给予鼻饲。

单方应用:①《百一选方》:“治翻胃及脾间诸疾,腹痛泄泻:豨莶草不以多少,焙干,为细末,蜜煮面糊为丸,如梧桐子大。每服50丸,白汤送下,不拘时候。” ②《方脉正宗》:“治肠风下血:豨莶叶,酒蒸为末,炼蜜丸。每服9g,白汤下。” ③《中国民间实用医方》:“治半身不遂,手脚不活动:豨莶草500g,晒干,研末,炼蜜为丸,每服9丸,1日2次,温开水送下。” ④《陕西中医验方选编》:“治风湿性脚癣:鲜豨莶草不拘多少,捶烂,贴患处。” ⑤《青岛中草药手册》:“治皮下出血、紫斑:鲜豨莶草适量,水煎熏洗。” ⑥《青岛中草药手册》:“治疔毒疮疖:豨莶草、紫花地丁各30g,水煎熏洗患处。” ⑦《福建药物志》:“治流行性感冒:豨莶草、野菊花各15g,水煎服。” ⑧《福建药物志》:“治高血压:鲜毛根豨莶草、臭牡丹根各30g,水煎服。” ⑨《福建药物志》:“治神经衰弱:毛根豨莶草、石仙桃各30g,水煎服。” ⑩《浙江民间常用草药》:“治疟疾:腺根豨莶全草15~30g,水煎,发作前2小时服。” ⑾《贵州省中医验方秘方》:“治蜘蛛咬伤及狗咬、其它虫咬:豨莶草,捣烂敷患处。”

医药家论述

①李时珍《纲目》:“豨莶,生捣汁服则令人吐,故云有小毒;九蒸九暴则补人,去痹,故云无毒。生则性寒,熟则性温,云热者非也。” ②张景岳《本草正》:“豨莶,气味颇峻,善逐风湿诸毒,用蜜酒层层和酒,九蒸九曝,蜜丸,空心酒吞,多寡随宜。善治中风口眼歪斜,除湿痹,腰脚痿痛麻木。生者酒煎逐破伤风危急,散撒麻疔,恶毒恶疮,浮肿,虎伤狗咬,蜘蛛虫毒,或捣烂封之,或煎汤,或散敷并良。其扫荡功力若此,似于元气虚者非利。” ③刘若金《本草述》:“有云,豨莶制如法,大益气血,四肢不遂,大有功。”“凡患四肢麻痹,骨间疼,腰膝无力,由于外因风湿者,生用,不宜熟;若内因属肝肾两虚,阴血不足者,九制用,不宜生。” ④张德裕《本草正义》:“豨莶,生时气臭味涩,多服引吐,盖性本寒凉,而气猛烈,长于走窜开泄,故能治热烦痈毒而吐痰疟;及其九次蜜酒蒸晒,和蜜为丸,则气味已驯,而通利机关,和调血脉,尤为纯粹,凡风寒湿热诸痹,多服均获其效,洵是微贱药中之良品也。”