腐婢

概况

异名:止血草(江苏),土黄芪(浙江),土常山(福建)。

基源:为马鞭草科豆腐柴属植物豆腐柴的茎、叶。

原植物:豆腐柴Premna microphylla Turcz.(P.japonica Miq.;P.formosana Maxim),又名臭黄荆、观音柴(浙江),豆腐草、观音草(安徽),小青树(湖北),六月冻(江西),臭茶(福建)。

历史:《本经》始载腐婢,列为下品。《纲目》引陶弘景谓:“今海边有小树,状如栀子,茎叶多曲,气如腐臭,土人呼为腐婢,疗疟有效”。但李时珍误以《本草衍义》及《嘉祐本草》所载为依据,误认为豆花。在《植物名实图考》中有土常山记载,云:“长沙山坡有之,赭根有须,根茎一色,有节,对节生叶,叶如榆,面青背白,背纹亦赭,春间开小花,如木樨,色黄白,无香,俚医以治湿热。”按上所述及附图,近似本种。

形态:直立灌木,幼枝具柔毛,老枝无毛。单叶对生,有臭味,叶柄长0.5~2cm,叶片卵状披针形、椭圆形、倒卵形或卵形,长3~13cm,宽1.5~6cm,顶端长渐尖至急尖,基部渐狭,近全缘或有不规则粗齿,无毛或有短柔毛。聚伞花序组成圆锥状,顶生;花萼杯状,5浅裂,绿色,有时带紫色,密被毛或几无毛,边缘常具睫毛;花冠淡黄色,外面有柔毛和腺点,花冠内面有柔毛,喉部较密,核果紫色,球形至倒卵形。花果期5~10月。(图见《中国高等植物图鉴》.第3册.599页.图5132)

生境与分布:生于山坡林下或林缘。分布于中国华东、中南及四川、贵州。

生药

采集:春、夏、秋季均可采收茎叶,晒干或鲜用。

化学性质

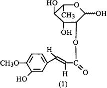
本品含β-谷甾醇(β-Sitosterol)、高级饱和脂肪烃、醇、羧酸[1]。还含洋丁香甙(Acteoside)、角胡麻甙(Martynoside)、桃叶珊瑚甙(Aucubin)、6-O-α-L-(2″-O-甲氧基肉桂酰)鼠李吡喃糖基梓树醇[6-O-α-L-(2″-OMethoxycinnamoyl)rhamnopyranosylcatal-pol]、6-O-α-L-(2″-O-阿魏酰基)鼠李吡喃糖基梓树醇[6-O-α-L-(2″-O-Feruloyl)rhamnopyranosylcatalpol]、6-O-α-L-(3″-O-阿魏酰基)鼠李吡喃糖基梓树醇[6-O-α-L(3″-O-Feruloyl)rhamnopyranosylcatalpol]、6-O-α-L-(4″-O-阿魏酰基)鼠李吡喃糖基梓树醇[6-O-α-L-(4″-O-Feruloyl)rhamno-pyranosylcatalpol][2]、2-O-反式-异阿魏酰基鼠素吡喃糖(2-O-trans-Isoferuloylrhamnopyranose)(1),3-O-反式-异阿魏酰基鼠李吡喃糖(2-O-trans-Isoferuloylrhamnopyranose)、2-O-反式-对-甲氧基肉桂酰鼠李吡喃糖(2-O-trans-PMethoxycinnamoylrhamnopyranose)、3-O-反式-对-甲氧基肉桂酰鼠李吡喃糖(3-O-trans-P-Methoxycinnamoylrhamnopyranose)、2-O-顺式-对-甲氧基肉桂酰鼠李吡喃糖(2-O-cis-p-Methoxycinnamoylrhamnopyranose)[3]。叶含6-O-α-L-(2″-O-反式-对-香豆酰)鼠李吡喃糖基梓醇[6-O-α-L-(2″-O-α-L(2″-O-trans-p-Coumaroyl)rhamnopyranosylcatalpol]、6-O-α-L-(4″-O反式和顺式-对香豆酰)鼠李吡喃糖基梓树醇[6-O-α-L(4″-O-trans andcis-p-Coumaroyl)rhamnopyranosyl-catalpol]、6-O-α-L-(2-O-咖啡酰)鼠李吡喃糖基梓树醇[6-O-α-L-(2″-O-Caffeoyl)rhamnopyranosylcatalpol]、6-O-α-L-(3″-O-咖啡酰)鼠李吡喃糖基梓树醇[6-O-α-L-(3″-O-Caffeoyl)rhamnopyranosylcatalpol][4]、6-O-α-L-(2″-O-异阿魏酰基-4″-O-乙酰基)鼠李吡喃糖基梓树醇[6-O-α-L-(2″-O-Isoferuloyl-4″-O-acetyl)rhamnopyranosylcatalpol]、6-O-α-L(3″-O-异阿魏酰基,4″-O-乙酰基)鼠李吡喃糖基梓树醇[6-O-α-L-(3″-O-Isoferuloyl-4”-O-acetyl)rhamnopyranosylcatalpol][5]

参考文献

[1] CA 1975;82:152220c。
[2] Phytochemistry 1991;30(6):1917。
[3] Phytochemistry 1991;30(12):4045。
[4] J Nat Prod 1990;53(1):107。
[5] Chem Pharm Bull 1990;38:426。

药性

性味:苦、涩,寒。 ①《湖南药物志》:“苦,寒。” ②《福建中草药》:“微辛,凉。” ③《中草药学》:“苦,寒。”

功效:清热,消肿。

主治:疟疾,泻痢,痈,疔,肿毒,创伤出血。 ①《本草经集注》:“疗疟疾有效。亦酒渍皮,疗心腹痛。” ②《湖南药物志》:“治泻痢,消渴病,痰疟。” ③《江西民间草药验方》:“治疟疾;外敷刀斧创伤。” ④《中草药学》:“烧伤。无名肿毒,跌打损伤。疟疾。痢疾。” ⑤《全国中草药汇编》:“痢疾,阑尾炎,雷公藤中毒。外用治烧烫伤,淋巴结炎,痈肿疮疔,毒蛇咬伤,外伤出血。”

用法用量:内服:煎汤,9~15g。外用:捣敷、研末调敷或煎水洗。

临床应用

方选和验方: 《福建中草药》:“治毒蛇咬伤:腐婢鲜叶、马兰鲜根、星宿菜鲜根各30g。同捣烂加些百草霜(锅底灰)调匀敷枕骨处及伤口。”

单方应用:①《食物中药与便方》:“治酒醉不醒:腐婢叶9g,葛花6g,水煎服。” ②《食物中药与便方》:“治痔瘘下血:腐婢叶焙干研末,每服3g,米汤送下,1日3次。” ③《食物中药与便方》:“治毒蛇咬伤:腐婢鲜草捣汁内服及外敷。” ④《福建药物志》:“治白翳:腐婢烧灰,研末,加冰片少许,调人乳点眼,每日数次。” ⑤《福建药物志》:“治扁桃体炎:腐婢、马蹄金各125g,食盐少许,共捣烂绞汁,含漱。” ⑥《江西民间草药验方》:“治疟疾:腐婢叶9~15g,开水冲泡,于疟发前2小时预服。” ⑦江西《草药手册》:“治痢疾:腐婢茎叶15g,海金沙藤15g,水煎,去渣,用白糖或红糖调服。” ⑧江西《草药手册》:“治肝火头痛,烫伤:腐婢茎叶21g,车前草15g,水煎服。” ⑨《湖南药物志》:“治肿毒:腐婢叶晒干,研末,黄醋调敷。” ⑩《江西民间草药验方》:“治刀斧创伤:新鲜腐婢叶,捣烂如泥,敷于伤处。” ⑾《福建中草药》:“治钩蚴侵入皮肤作痒(钩虫皮炎):腐婢鲜叶煎汤洗。”

医药家论述

①《本经》:“气味辛平无毒,主治痰疟寒热,邪气泄痢,阴不起,止消渴,病酒头痛。” ②薛己《药性本草》:“消酒毒,明目,下水气,治小儿丹毒热核,散气满,不能食。”

参考文章