覆盆子叶

概况

异名:西国草(《海上集验方》)。

基源:为蔷薇科悬钩子属植物掌叶覆盆子及插田泡等的茎叶。

原植物:掌叶覆盆子Rubus chingii Hu插田泡Rubus coreanus Miq.

余项参见“覆盆子”条。

化学性质

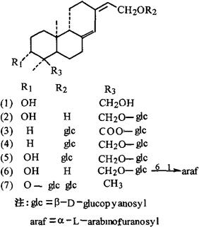
掌叶覆盆子叶中含有覆盆子甙(Goshonoside)-F1(1)、F2(2)、-F3(3)、-F4(4)、-F5(5)、F6(6)、F7(7)[1,2]

R.coreanus Miq.的叶、果均含插田泡甙(Coreanoside)F1[3]

参考文献

[1] Chem Pharm Bull 1987;35(7):3021。
[2] Chem Pharm Bull 1991;39(9):2443。
[3] Phyfochemistry 1990;29(10):3275。

药性

性味:《纲目》:“酸、咸,平。”

功效:明目止泪,收湿气。

主治:眼睑赤烂,泪多,视物昏花,牙痛,臁疮。 《本草拾遗》:“挼绞取汁滴入目中,去肤赤,有虫出如丝线。”

用法用量:外用:捣汁点目或研末撒。

临床应用

单方应用:①崔元亮《海上集验方》:“治目暗不见物,冷泪不止及青盲,天行目暗等疾:西国草,日曝干,捣极细,薄绵裹,乳汁浸如人行八九里久,点目中,仰卧。” ②《摘玄方》:“治牙疼:覆盆嫩叶捣汁点目眥内三四次。无新叶,干者煮浓汁亦可。” ③《仁斋直指方》:“治臁疮溃烂:覆盆子叶为末,患处用酸浆水洗后掺之,日1次,以愈为度。”