药材名称:春福寿草
名称出处:《东北药用植物原色图鉴》
概况基源:为毛茛科侧金盏花属植物春福寿草的干燥全草。
原植物:春福寿草Adonis vernalis L.
形态:多年生草本,高10~20cm。茎细弱,单一或基部稍有分枝,下部具鞘状鳞片4~8片,膜质;叶二回羽状复叶,小羽片深裂或全裂,最终裂片为卵状披针形。花单生,萼片和花瓣分化不明显;花萼5~8片,长约1.5cm,宽约4~7mm,先端常带缺刻;花瓣12~21枚,椭圆状倒卵形,长约1.3cm,宽4~7mm,先端钝,微有波状齿,黄色;雄蕊多数,花药黄色;雌蕊多数,离生,聚成球状,子房为扁球状倒卵形,花柱向外弯曲,均被短毛。花期4月。
生境与分布:生于富有腐殖土的阴湿山坡和灌木丛中及林缘地带。广布于原苏联。
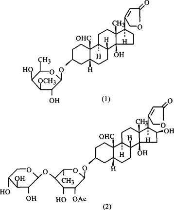
化学性质全草含多种强心甙,如加拿大麻甙(Cymann)、福寿草毒甙(Adonitoxin)、K-毒毛旋花子次甙-β(K-Strophanthin-β)[1]、毒毛旋花子甙元夫糖甙(Strophanthidin fucoside)[2]、毒毛旋花子甙元毛地黄糖甙(Strophanthidin digitaloside)(1)、毒毛旋花子甙元6-去氧葡萄糖甙(Strophanthidin 6-deoxyglucoside,Deglucocheirotoxin)[3]、福寿草甙元-3-O-α-L-鼠李糖-β-D-木糖甙(Adonitoxigenin-3-O-α-L-rhamnoside-β-D-xyloside)、福寿草甙元-3-[O-α-L-(2’-O-乙酰)鼠李糖]-β-D-木糖甙(Adonitoxigenin-3-[O-α-L-(2’-O-acetyl)rhamnoside]-β-D-xyloside(2)、福寿草甙元-3-[O-α-L-(3’-O-乙酰)鼠李糖]-β-D-木糖甙(Adonitoxigenin-3-[O-α-L-(3’-O-acetyl)rhamnoside]-β-D-xyloside)[4]。高压液相分析全草,含福寿草毒甙、K-毒毛旋花子甙(K-Strophantoside)、K-毒毛旋花子甙元(K-Strophanthidin)、黄白糖芥甙(Helveticoside)和加拿大麻甙[5]。此外尚含福寿草甙(Adoniside)[6]和福寿草维甙(Adonivernith,东北蓼素-2”-O-β-D-吡喃木糖甙)(3)[7]。叶含抗坏血酸(Ascorbic acid)[8]等。花含牡荆素(Vitexin)[9]等。
参考文献
[1] CA 1972;76:70112f。
[2] CA 1972;77:85532n。
[3] CA 1978;88:101547f。
[4] CA 1986;104:31720e。
[5] Planta Med 1982;45(4):207。
[6] CA 1982;97:203217b。
[7] CA 1975;83:55706d。
[8] CA 1976;84:56532b。
[9] CA 1972;76:11976。
性味:《中药志》:“苦,平。有毒。”
功效:强心,利尿,镇静。
主治:心悸,心功能不全,水肿,癫痫。 ①《中药志》:“强心,利尿,镇静,减慢心率。治急、慢性心功能不全。” ②《新华本草纲要》:“治心悸,水肿,癫痫。” ③《中国药用植物图鉴》:“强心剂。功效同福寿草。” ④《植物药有效成分手册》:“强心作用,抗肿瘤作用。”
用法用量:内服:酒浸或水浸汁,1.5~3g。
使用注意:本品有毒,内服慎用。