地乌

概况

异名:地雷(贵州),二轮七、蜈蚣三七(浙江)。

基源:为毛茛科银莲花属植物鹅掌草的根状茎。银莲花属全世界约150种,中国约62种。

原植物:鹅掌草Anemone flaccida Fr.Schmidt(Anemone baicalensis Turcz.var.laevigata Gray;Anemone baicalensis Turcz.ssp.flaccida Ulbr.),又名林荫银莲花(《中国植物志》)。

形态:多年生草本。株高15~40CM。根状茎近圆柱形,粗5~10mm,节间缩短。基生叶1~2枚,有长柄;叶片薄膜质,五角形,基部深心形,3全裂,中裂片菱形,3裂,末回裂片卵或宽披针形,有1~3齿或全缘,侧全裂片不等二深裂;叶柄长10~28cm。花通常2~3朵,花梗只在上部有柔毛;苞片3;似基生叶,无柄,不等大,菱状三角形或菱形,3深裂;萼片5,白色,倒卵形或椭圆形,长7~10,宽4~5.5mm,顶端钝或圆形;雄蕊长约萼片之半,花丝丝状,钝或圆形;雄蕊长约萼片之半,花丝丝状;心皮约8,子房被浅黄色短柔毛,无花柱,柱头近三角形。4~6月开花。(图见《中国植物志》第28卷.图版3)

生境与分布:生于海拔1100~3000m山谷中草地或林下。分布于中国西南及陕西南部、甘肃南部、江苏南部、浙江西北部、江西、湖南、湖北西部。日本和原苏联远东地区也有分布。

生药

采集:春夏季采收,除去当叶、根径及泥沙,晒干或鲜用。

贮藏:晒干用者置干燥处,防蛀。

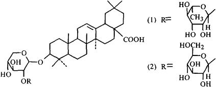
化学性质

含皂甙、生物碱[1]和Giganteaside(1)、Qlaccidin B(2)[2]

参考文献

[1] 中草药 1980;20(4):177。
[2] 生药学杂志(日) 1988;42(1):35。

药理

①抗炎作用 水煎液以8g/kg和5g/kg量ip,分别对蛋清和甲醛引起的大鼠足蹠肿胀有明显的抑制作用。其作用快而持久,给药30min后即显效,3h后作用最强,48h作用仍不消失。ip5g/kg,共7d,对大鼠肉芽肿增生也有明显抑制作用。 ②镇痛作用 小鼠ip水煎液5g/kg[1]。或0.1g/kg,对醋酸所致的痛觉反应有明显抑制作用。 ③解热作用 家兔ip水煎液4g/kg可明显抑制伤寒一副伤寒疫苗所致的体温升高。

毒性:按孙氏改良寇氏法得小鼠ip水煎液的LD50为21.6±4.4g/kg。中毒后安静,30min后死亡。

参考文献

[1] 药学通报 1984;19(4):250。
[2] 药学通报 1986;21(6):373。

药性

性味:辛,微苦,温。

功效:祛风湿,助筋骨。

主治:风湿疼痛,跌打损伤。 《贵州民间药物》:“解毒,驱风湿。”

用法用量:内服:煎汤9~15g;或浸酒。

临床应用

方选和验方: ①《贵州民间药物》:“治风湿:地乌30g,泡酒250g。每次服9g。或地乌与9g,白龙须6g,大血藤、大风藤各15g,泡酒1kg。每次服20ml。” ②《浙江天目山药用植物志》:“疗伤,发散,助筋骨:鲜蜈蚣三~七根60~90g。切片,加白糖炖汁服。”

参考文章