萍蓬草根

概况

异名:水栗子(《纲目》)。

基源:为睡莲科萍蓬草属植物萍蓬草的根状茎。

原植物:萍蓬草Nuphar pumilum(Hoffm.)DC.

余项参见“萍蓬草”条。

生药

采集:秋季采挖根状茎。

化学性质

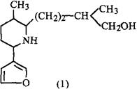
附 同属植物日本萍蓬草(Nuphar japonicurn DC.)根中含萍蓬草定(Nupharidine)、去氧萍蓬草定(Deoxynupharidine)、萍蓬草胺(Nupharamine)、去水萍蓬草胺(Anhydronupharamine)、去氧海狸碱(Deoxycastoramine)、裂环二氢海狸碱(Secodihydrocastoramine)(1)[1~3];另外尚含可水解鞣质:没食子鞣质(五倍子鞣质)(Gallotannin)Ⅰ、Ⅱ、6-O没食子酰葡萄糖、2,3,4,6-四-O-没食子酰葡萄糖[4,5]等;新近,又分得6个化合物,分别命名为萍蓬草碱(拟)(Nupharin)A,B,C,D,E,F[67]

参考文献

[1] 和汉生药 广川书店 1971:209。
[2] CA 1975;82:28643d。
[3] CA 1979;90:204316a。
[4] Chem Pharm Bull 1982;30(3):1094。
[5] Chem Pharm Bull 1987;35(8):3127。
[6] Chem Pharm Bull 1989;37(1):129。
[7] Chem Pharm Bull 1989;37(7):1735。

药理

日本萍蓬草根含萍蓬草定,具有显著的解痉和降压作用,类似阿托品和罂粟碱,强度为阿托品的1/20。小鼠急性毒性LD50(mg/kg),SC为112,iv为31。

参考文献

CA 1966;64:11275a。

药性

性味:甘,寒。 《本草拾遗》:“味甘。”

功效:补虚,健胃,调经。

主治:病后体弱,消化不良月经失调

用法用量:内服:煎汤,9~15g。

临床应用

单方应用:《全国中草药汇编》:“治痨热,骨蒸,盗汗,肺结核咳嗽:萍蓬草根10~15g。水煎服。”