牡丹皮

概况

异名:丹根(贵州)。

基源:为毛茛科芍药属植物牡丹的干燥根皮。

原植物:正品丹皮为牡丹Paeonia suffruticosa Andr.(P.moutan Sims;P.yunnanensis Fang;P.decomosita Hand.-Mazz.)此外紫斑牡丹Paeonia suffruticosa Andr.var.papaveracea(Andr)Kerner[P.sutfruticosa Sansu;P.papaveracea Andr.;P.moutan Sims var.Papaveracea(Andr.)DC.]和四川牡丹Paeonia szechuanica Fang在部分地区也作丹皮药用。

历史:牡丹始载于《本经》,列为中品。《唐本草》记述:“牡丹,生汉中,剑南所出者,苗似羊桃,夏生白花,秋实圆绿,冬实赤色,凌冬不凋,根似芍药,内白皮丹。”《纲目》草部芳草类本条释其名曰:“牡丹以色丹者为上,虽结子而根上生苗,故谓之牡丹。”综上所述。古今所用的牡丹来源一致。

形态:落叶灌木。茎高达2m,分枝短而粗。叶通常为二回3出复叶,近枝顶者偶为3小叶,顶生小叶宽卵形,长7~8cm,宽5.5~7cm,3裂至中部,裂片不再裂或2~3浅裂,叶面绿色,背面淡绿色,有时具白粉,侧生小叶狭卵形,长4.5~6.5cm,宽2.5~4cm,不等2~3裂或不裂。花单生枝顶,直径10~17cm;苞片5,长椭圆形,大小不等;萼片5,宽卵形,大小不等;花瓣5,或为重瓣,玫瑰色,红紫色,粉红至白色,通常变异很大,长5~8cm,宽4.2~6cm,顶端呈不规则的波状;雄蕊花丝紫红色,粉红色,上部白色,花药长圆形,长4mm;花盘革质,完全包住心皮,在心皮成熟时开裂;心皮5,密生柔毛。蓇葖长圆形,密生黄褐色硬毛。花期5月。果期6月。(图见《中国植物志》.第27卷.40页.图版1)

生境与分布:可能由中国陕西延安一带所产的矮牡丹Paeorua suffruticosa Var.spontanea引种而来。目前全国栽培甚广并早已引种至国外。在栽培类型中,主要根据花的颜色,可分成上百个品种。

紫斑牡丹与牡丹的区别在于:叶为二至三回羽状复叶,小叶不分裂,稀不等2~4浅裂。花大,花瓣白色,内面基部具深紫色斑块。(图见《中国植物志》.第27卷.43页.图版3)生于海拔1100~2800m的山坡林下,灌丛中,分布于陕西南部、甘肃南部、四川北部。甘肃、青海有栽培。

四川牡丹与上述2种牡丹的区别在于:叶三至四回3出复叶,叶裂片较小,两面无毛。花盘包住心皮1/2~2/3,心皮无毛。花期4月下旬的至6月上旬。(图见《中国植物志》.第27卷.44页.图版4)生于海拔2400~3100m的山坡,河边草地或丛林中。分布四川西北部马尔康一带。

生药

栽培:宜温暖,耐旱,怕涝。应选阳光充足,土层深厚,排水良好而肥沃疏松的砂质壤土种植。分株繁殖,于9月上旬~10月下旬收获时,将挖出的植株,剪去老枝,顺其自然状态,从根头处纵劈,分成2~3株,粗根和中等根切下加工入药,余下留在苗上,稍晾后再栽种,使切口愈合不易腐烂。按行株距各66cm穴栽,深33~50cm,使根充分伸展,栽后覆土压紧,培土成垄;另一种分株方法,在春季于母株基部培土10~15cm,保持湿润,促使母株萌生新枝和新根,到次年秋季进行分株;也可于8~9月采收种子后立即播种或贮藏湿砂内至春季播种,条播,行距27~33cm,深3~5cm,每亩用种量5kg左右。播后覆土盖草,出苗时结合松土除草、逐次揭去盖草,进行肥,水管理。2~3年后的春,秋季移栽,行株距各66cm,栽后浇水定根。每年需注意松土除草,春,夏两季各施追肥1次,用饼肥或厩肥和磷肥沟施。雨季注意排水。现蕾时应及时摘除花蕾。入冬前需培土壅根,防寒越冬。病害有立枯病,可用50%退菌特可湿性粉剂1000倍液加石灰5%,加尿素0.2%进行淋灌;叶斑病,灰霉病,用1∶1200的波尔多液喷雾防治。地下虫害,除人工诱杀或捕杀外,可用农药防治。

采集:秋季或春初采挖栽培3~5年的牡丹根,洗净泥土,除去细根及茎苗,剖取根皮,晒干,称为“原丹皮”;或刮去外皮后,再剖取根皮,晒干,称为“刮丹皮”或“粉丹皮”。药材主产于安徽、湖南、山东、湖北、四川、甘肃、贵州、云南、浙江也产。以四川、安徽产量最大。安徽铜陵凤凰山所产的质量最佳,称为“凤丹皮”。

鉴别

性状:根皮圆筒状或半圆筒状,有纵剖开的裂缝,略向内卷曲或张开,长5~20cm,直径0.5~1.2cm,皮厚1~4mm;外表面灰褐色或黄褐色,有多数横长皮孔及细根痕,“刮丹皮”外表面显粉红色;内表面棕色或淡灰黄色,有细纵纹及多数发亮的结晶(系针状或片柱状牡丹酚结晶。)质硬而脆,易折断,折断面较平坦,粉性,淡粉红色。有特殊香气,味微苦而涩,有麻舌感。

显微 牡丹皮横切面:木栓层为4~8列木栓细胞,浅棕红色,类长方形,类方形。皮层10数列薄壁细胞,大多切向延长,靠近木栓层3~5列细胞壁稍厚。韧皮部宽广,约占整个横切面径向的4/5,筛管群明显;韧皮射线宽1~3列径向延长的薄壁细胞。本品薄壁细胞含淀粉粒,有的含草酸钙簇晶。(图见《中药鉴定学》.图9.7) 粉末:淡灰棕色。①淀粉粒众多,单粒类圆形,直径3~16μm,脐点明显,三叉状,星状或裂缝状;复粒,由2~6分粒组成。 ②草酸钙簇晶直径9~45μm;含晶薄壁细胞一般较小,呈类方形,有时数个细胞纵向连接,簇晶排成纵行,或一个薄壁细胞中含数个簇晶,也有簇晶充塞于细胞间隙中。 ③木栓细胞表面观呈类方形,多角形或延长,壁稍厚,显淡红色。 ④草酸钙方晶稀少,直径8~15μm。(图见《中药材粉末显微鉴定》.615页.图301)

理化:①取样品粉末1g,加乙醚10ml,密塞,振摇10分钟,滤过,滤液置蒸发皿中,任乙醚自然挥散,残渣加丙酮2ml溶解,作为供试品溶液。另取丹皮酚对照品,加丙酮溶解,制成每1ml含5mg的对照品溶液。取上述两种溶液各10μl,分别点于同一硅胶G板上,以环己烷-乙酸乙酯(3∶1)的展开剂,展距10cm,取出,凉干,喷2%三氯化铁乙醇溶液,供试品在与对照品相应的位置上,显相同的紫色斑点。(图见《中药材薄层色谱鉴别》.287页.图200-1A) ②取样品粉末1g,加乙醇10ml,浸渍72小时,上清液点于硅胶GF254板上,以芍药甙为对照,以氯仿-甲醇(3.5∶1)为展开剂,展开后,置紫外光灯下检视,芍药甙在蓝绿色背景下显褐紫色斑点。(图见同上287页200-1B) ③取样品粉末适量,用乙酸乙酯提取,提取液点于硅胶G板上,以丹皮酚,丹皮甙和芍药甙为对照,以甲苯-甲酸乙酯-甲酸-氯仿(5∶6∶3∶6)为展开剂,展开后.喷甲氧基苯甲醛硫酸试剂[对甲氧基苯甲酸-甲醇-硫酸(0.5∶8.01.5)],加热显色。(图见同上.288页.图200-2A) ④取样品粉末适量,加适量1mol/LHCl甲醇润湿后放置1小时,加入氯仿浸泡过夜,氯仿液点于硅胶G板上,以丹皮酚为对照,以环己烷-氯仿-无水乙醇(7.3∶1)的展开剂,展开后,置紫外光灯下检视。(图见同上.288页.图200-2B) ⑤取样品粉末适量,用乙醚提取,提取液点于硅胶G板上,以丹皮酚为对照,以环己烷-氯仿-无水乙醇(7∶3∶1)为展开剂,展开后,喷(Ⅰ)2%三氯化铁乙醇溶液或(Ⅱ)2,4-二硝基苯肼试剂[2,4-二硝基苯肼0.5g加硫酸水溶液(1∶1)20ml,溶解后加乙醇水溶液(1.3)使成100ml]显色。(图见同上288页.图200-3)

加工炮制:①牡丹皮片 取原药材,除去杂质及残留木心,迅速洗净,润软,切薄片,干燥。 ②牡丹皮炭 取牡丹皮片,用中火炒至黑褐色,喷淋少许清水,灭尽火星,取出,晾干。

贮藏:置阴凉干燥处。

化学性质

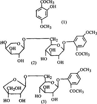
根含牡丹酚(Paeonol)(1)[1],牡丹酚甙(Paeonoside),牡丹酚原甙[2],芍药甙(Paeoniflorin)[3],挥发油,植物甾醇[4]。牡丹皮含2,3-二羟基-4-甲氧基苯乙酮,2,5-二羟基-4-甲氧基-苯乙酮,3-羟基4-甲氧基-苯乙酮[5],及paeonilide(2)[6]

根尚含牡丹酚新甙(Apiopaeonoside)(3),苯甲酸芍药甙,羟基芍药甙[7]

未成热的果实含苯甲酰芍药甙,苯甲酰氧芍药甙,β-谷甾醇,没食子酸甲酯[8]

参考文献

[1] CA 1963;58:1824f。
[2] CA 1957;51:2770d。
[3] 医学中央杂志(日) 1967;223:58。
[4] 生药学 人民卫生出版社,1965;120。
[5] CA 1991;115:99062z。
[6] CA 1984;101:43671r。
[7] 药学学报 1985;20(10):782。
[8] CA 1991;115:155128q。

药理

①对心血管系统的作用 牡丹皮水煎醇沉液0.125~1mg/ml对培养5~12d的Wistar乳鼠心肌细胞,有抑制其动作电位的幅度、时程及Vmax的作用[1]。1g/kgiv,对犬实验性心肌缺血有明显的保护作用,并能不同程度地降低心肌耗氧量、血压及心输出量,增加冠脉流量[2]。 ②降压作用 牡丹酚5~10mg/kg家兔iv,有降压作用[9]。牡丹皮水煎剂麻醉狗及大鼠iv0.75g/kg,牡丹酚给犬iv40mg/kg,有降压作用,去牡丹酚后的牡丹皮煎剂也有降压作用。对原发性及肾型高血压犬,po5~10g(生药)/kg有降压作用,且牡丹酚及去牡丹酚的煎剂都有类似作用。推测此作用与牡丹皮中水溶性糖甙有关。改变牡丹酚中的酮基,降压作用消除,去羟基则作用减弱[3,4]。 ③抗血栓作用 牡丹酚100mg/kg ip,每周6次,连续6wk,对兔主动脉内膜斑块形成有明显的抑制作用,此作用与抑制血小板的聚集和释放反应及减少血小板活性物质释放有关[5]。70%甲醇提取物2000mg/kg在iv内毒素前1hig给药,对内毒素所致的大鼠实验血栓症,即血小板及纤维蛋白原的减少,凝血酶原时间的延长及纤维蛋白分解产物的增加有显著的抑制作用[6],上述提取物200及500mg/(kg·d)ig,连续1wk,对iv内毒素所致的大鼠水性腹泻,肠粘膜瘀血,胃腺部血栓性溃疡以及肝脏出血性坏死巢的形成,肾小球纤维蛋白血栓,肝梗塞的形成具有显著的抑制作用,并能延长内毒素所致的高脂血症大鼠的存活时间[7]。 ④中枢系统的作用 牡丹酚125mg/kg ip,能抑制小鼠的自发运动,随剂量增大作用增加∶125mg/kg ip及500mg/kg ig给药,能延长小鼠环已巴比妥钠的睡眠时间:1g/kg ig或0.25g/kg ip,有明显的镇痛作用;0.125g/kg ip或0.25g/kg ig,有显著的降低体温作用,随剂量加大,作用增加,对发热小鼠也有显著的降温作用;0.25g/kg及0.5g/kg具有抗痉挛作用[8]。 ⑤抗炎作用蹠对角叉菜胶,右旋糖酐,醋酸引起的大鼠后肢足蹠肿胀,牡丹酚0.5g/kg ig有抑制作用,对芥子粉引起的持续性大鼠足蹠浮肿炎症也有抑制作用,对肉芽肿无抑制作用,去除牡丹酚的牡丹皮水提物无上述作用[9],牡丹皮70%甲醇提取物0.5g/kg ig具有牡丹酚相似的抗炎作用。对大鼠佐剂关节炎模型,牡丹皮具有显著的预防及抗炎作用[10]。牡丹酚100~200mg/kg ip对二甲苯引起的小鼠耳廓肿胀,500~1000mg/kg对内毒素所致小鼠腹腔毛细血管的通透性增高,75~150mg/kg对角叉菜胶,甲醛,新鲜蛋清所致的炎症反应,150mg/kg对HA、5-HT、BK所致的炎症反应,均有显著的抑制作用[11]。牡丹皮po,也有上述作用[12]。 ⑥对免疫系统的作用 牡丹酚75~150mg/kg ip能显著抑制豚鼠Forssman皮肤血管炎反应,大鼠反向皮肤过敏反应,大鼠主动和被动Arthus型足跖肿胀,对绵羊红细胞,牛血清白蛋白诱导的小鼠迟发型足跖肿胀,对二硝基氟苯引起的小鼠接触性皮炎均有明显的抑制作用[13],牡丹皮具有牡丹酚的上述作用[12]。 ⑦抗病原微生物作用 体外实验表明,牡丹皮煎剂对枯草杆菌,大肠杆菌,伤寒杆菌,副伤寒杆菌,变形杆菌,绿脓杆菌,葡萄球菌,溶血性链球菌,肺炎球菌,霍乱弧菌等均有较强的抗菌作用。牡丹酚对金黄色葡萄球菌,枯草杆菌,大肠杆菌的MIC分别为1∶2000,1∶1500,1:1500。牡丹叶煎剂对痢疾杆菌,绿脓杆菌和金黄色葡萄球菌有显著的抗菌作用,有效成分为没食子酸[14]。 ⑧其它作用 牡丹皮0.5g/kg id牡丹酚0.25g/kgid,1g/kg ig,对小鼠胃溃疡有抑制作用;牡丹酚0.125g/kg id,有抑制大鼠胃液分泌作用,随剂量增大,作用增加。牡丹酚5×10-5g/ml对小鼠及豚鼠离体小肠的收缩及催产素所致的大鼠子宫收缩有对抗作用,20~30mg/kg iv,对在体大鼠子宫的自发运动有一时性的抑制作用[9],21mg/只ip,对小鼠有较好的抗早孕作用[15]。牡丹酚62.5~250mg/kg给大鼠ig能增加水,钠,氯的排泄量,钾在低剂量时无变化,最高剂量时排泄量减少[16]。 ⑨药动学研究 兔iv牡丹酚,药物体内浓度变化呈二室模型,分布半衰期为20min[17]。兔ig牡丹酚35mg/kg,按二室模型计算动力学参数,其分布半衰期为11min,消除半衰期为3.8h[18]

毒性:牡丹酚小鼠的LD50为:ig3430mg/kg,id为781mg/kg,iv为196mg/kg[9]。牡丹酚溶于50%花生油后小鼠ig的LD50为4.9g/kg。用于治疗实验性高血压狗,末见肝,肾功能,血象及心电图有明显异常[3]。

参考文献

[1] 中西医结合杂志 1986;6(5):292。
[2] 山西医药杂志 1984;13(4):212。
[3] 药学学报 1960;8(6):250。
[4] 生理科学进展 1963;5(4):359。
[5] 中国药理学报 1988;9(6):555。
[6] 生药学杂志(日) 1982;36(1):70。
[7] 生药学杂志(日) 1984;38(4):307。
[8] 药学杂志(日) 1969;89(9):1205。
[9] 药学杂志(日) 1972;92(6):750。
[10] 生药学杂志(日) 1979;33(3):178。
[11] 中国药科大学学报 1989;20(3):147。
[12] 中国药科大学学报 1990;21(4):222。
[13] 中国药科大学学报 1990;21(4):103。
[14] 中药药理与应用.人民卫生出版社, 1983;529。
[15] 辽宁中医杂志 1980;(4):43。
[16] Phanta Med 1985;(3):187。
[17] 中成药 1989;11(12):3。
[18] 中草药 1990;22(2):70。

药性

性味:辛、苦,凉。 ①《本经》:“辛,寒。” ②《滇南本草》:“寒,酸、辛。” ③《本草备要》:“辛、甘,微寒。”

归经:入心、肝、肾经。 ①《珍珠囊》:“手厥阴、足少阴。” ②《纲目》:“手足少阴、厥阴四经。” ③《雷公炮制药性解》:“入肺经。”

功效:清热,凉血,和血,消瘀。

主治:热病吐血,衄血,血热斑疹,急性阑尾炎,血瘀痛经,经闭腹痛,跌打瘀血作痛,高血压病,神经性皮炎,过敏性鼻炎,痈疡,扑损。 ①《本经》:“主寒热,中风瘛疭、痉,惊痫邪气,除癥坚瘀血留舍肠胃,安五脏,疗痈疮。” ②《别录》:“除时气头痛,客热五劳,劳气头腰痛,风噤,癫疾。” ③《药性论》:“治冷气,散诸痛,治女子经脉不通。血沥腰疼。” ④《日华子本草》:“除邪气,悦色,通关腠血脉,排脓,通月经,消扑损瘀血,续筋骨,除风痹,落胎下胞,产后一切冷热血气。” ⑤《珍珠囊》:“治肠胃积血,衄血,吐血,无汗骨蒸。” ⑥《滇南本草》:“破血,行(血),消癥瘕之疾,除血分之热。” ⑦《医学入门》:“泻伏火,养真血气,破结蓄。” ⑧《纲目》:“和血,生血,凉血。治血中伏火,除烦热。”

用法用量:内服:煎汤,4.5~9g;或入丸、散。

使用注意:血虚有寒,孕妇及月经过多者慎服。 ①《本草经集注》:“畏菟丝子。” ②《古今录验方》:“忌胡荽。” ③《唐本草》:“畏贝母、大黄。” ④《日华子本草》:“忌蒜”。 ⑤《本经逢原》:“自汗多者勿用,为能走泄津液也。痘疹初起勿用,为其性专散血,不无根脚散阔之虑。” ⑥《得配本草》:“畏气虚寒,相火衰者,勿用。”

临床应用

配伍应用:①配丹参,治风热入于血分,发为斑疹热毒的出血证,月经不调,产后瘀滞,阴虚发热,热痹。 ②配栀子,治肝郁火旺,颊赤口干,心烦,月经不调。 ③配生地,治热入血分,发斑发疹,吐血,衄血等症。 ④配地骨皮,治阴虚血热所致的午后潮热,两颧发红,手足心热,骨蒸烦躁等,无论有汗无汗。 ⑤配青蒿,鳖甲,治热病后期,热伏阴分,夜热早凉及阴虚发热,无汗骨蒸等症。 ⑥配桂枝、桃仁,治血瘀经闭,痛经或癥瘕积聚等症。 ⑦配大黄、金银花,治急性阑尾炎。 ⑧配野菊花、石决明,治高血压和动脉硬化而有肝郁积热症状者。 ⑨配生地、玄参、青蒿,治热入血分,吐血,衄血。 ⑩配大黄、桃仁、冬瓜子、红藤,治阑尾炎初起。 ⑾配牛膝、川芎、当归,治血瘀经闭。 ⑿配黄芩、制香附,治血热月经期。 ⒀配桑叶、赤芍、连翘,治感冒风热,咽喉肿痛。 ⒁配乳香、地鳖虫、红花,治跌打损伤,瘀血停滞作痛。 ⒂配当归、川牛膝、桂枝,治经闭腹痛。 ⒃配败酱草、金银花、红藤,治肠痈已成脓。 ⒄配知母、黄柏、生地,治结核病潮热。 ⒅配牛角、生地、赤芍,治血热吐衄。 ⒆配地骨皮、青蒿、知母,治虚劳夜热。 ⒇配赤芍、乳香、没药,治外伤瘀血作痛。 (21)配金银花、连翘、蒲公英、治疮痈。 (22)配乳香、没药、当归、桃仁,治跌打损伤,瘀阻肿痛。 (23)配赤芍、连翘、地肤子、蝉衣、浮萍草,治急性荨麻疹。

方选和验方: ①牡丹丸(《圣济总录》)治妇人血风劳气,气块攻心,日渐黄瘦,经脉不行:牡丹皮、郁李仁各60g,芍药、当归、川芎、桂心、苦参、炒大黄各30g,贝母15g。上为末,炼蜜为丸,梧桐子大,每服20丸,温酒送下,每日2次。 ②将军散(《本草汇言》)治悬痈生于谷道之前,小便之后,初发甚痒,状如松子,一月赤肿如桃,迟治则破,而大小便皆从此出,先服国老汤不消者:牡丹皮、大黄、贝母、白芷、甘草、当归各15g。共为细末,酒调服6g,空心吃。 ③牡丹汤(《圣济总录》)治伤寒热毒发疮如豌豆:牡丹皮、山栀子仁、黄芩(去黑心)、大黄(锉,炒)、木香、麻黄(去根,节)。上6味等份,锉如麻豆大。每服6g,水300ml,煎至7分,去滓,温服。 ④拯阴理劳汤(《医宗必读》)治虚劳:牡丹皮、当归身(酒洗)、麦门冬各3g,甘草(炙)1g,薏苡仁、莲子(不去衣)各9g,白芍药(酒炒)2g,北五味1g,人参2g,橘红3g,生地黄(忌铜铁器,姜汁酒炒)6g。水400ml,枣1枚,煎200ml,分2次,徐徐呷之。肺脉重按有力者去人参;有血加阿胶、童便;热盛加地骨皮;泄泻减归、地,加山药、茯苓;倦甚用参9g;咳者加贝母、桑皮;嗽者加半夏、茯苓;不寐加枣仁。 ⑤三黄补血汤(《医部全录·面门》)治六脉俱大,按之空虚。面赤善惊,上热。乃手少阴心脉也。此气盛多而亡血。以甘寒镇坠之剂大泻其气,以坠气浮,以辛甘为苦,峻补其血:丹皮、黄芪、升麻各3g,柴胡4.5g,熟地、川芎各6g,生地9g,当归、白芍各15g,上咀,如麻豆大,每服15g,水600ml煎至300ml,去渣,稍热莨前服。 ⑥犀角地黄汤(《千金方》)治伤寒及温病应发汗而不发汗之内蓄血者,及鼻衄,吐血不尽,内余瘀血,面黄,大便黑,消瘀血:牡丹皮60g,犀角30g,芍药90g,生地黄240g。上4味,细切,以水1800ml,煮取600ml,分3服。 ⑦牡丹汤(《圣济总录》)治妇人骨蒸;经脉不通,渐增瘦弱:牡丹皮45g,桂(去粗皮)30g,木通(锉,炒)30g,芍药45g,鳖甲(醋炙,去裙襕)60g,土瓜根45g,桃仁(汤浸,去皮、尖,双仁,炒)30g。上7味粗捣筛。每服10g,水450ml煎至300ml,去滓,分温2服,空心食后各1次。 ⑧大黄牡丹皮汤(《金匮要略》)治肠痈,少腹肿痞,按之即痛如淋,小便白调,时时发热,自汗出,复恶寒,其脉迟紧者,脓未成,可下之,当有血;脉洪数者,脓已成,不可下也:牡丹14g,大黄64g,桃仁50个,瓜子15g,芒硝9g。上5味,以水1200ml,煮取200ml,去滓,内芒硝,再煎沸,顿服之。有脓当下,如无脓当下血。 ⑨牡丹丸(《三因极一病证方论》)治寒疝,心腹刺痛,休作无时及妇人月经病,血刺疼痛:牡丹皮120g,川乌头(炮令焦黑,去皮、尖)1只,桂心150g,桃仁(炒,去皮、尖)150g(别研)。上药研为末,炼蜜为丸,如梧桐子大。每服50丸,用温酒送下,妇人用醋汤下。 ⑩牡丹皮散(《证治准绳·外科》)治跌扑闪挫伤损,瘀血疼痛:牡丹皮,当归,骨碎补,红花(酒浸),续断,乳香,没药,桃仁,川芎,赤芍药,生地黄。上药用水、酒煎服。服毕用秫米饭乘热敷缚,冷又蒸热,换缚。 ⑾牡丹散(《妇人大全良方》)治妇人久虚羸瘦,血气走疰,心腹疼痛,不思饮食:牡丹皮、桂心、当归、延胡索各30g,莪术、牛膝、赤芍药各60g,荆三棱45g。上为粗末,每服9g,用水150m1,酒75ml,煎至160ml,温服。 ⑿牡丹散(《仁斋直指方》)治肠痛冷证,脓溃正虚,腹濡而痛,时时利脓:牡丹皮、人参、白茯苓、天麻、黄芪、木香、当归、川芎、辣桂、桃仁(浸,去皮,炒)各22g,白芷、薏苡仁、甘草(炙)各15g。上药研末,每服9g,井水煎,空腹时服。 ⒀牡丹散(《普济方》)治肺痈。胸乳间皆痛,口吐脓血,气味腥臭:牡丹皮、川升麻、苦桔梗、薏苡仁、地榆、黄芩、赤芍药、北甘草各等份。上药锉散。每服30g,用水1500ml,煎至500ml,分3次温服。 ⒁牡丹汤(《备急千金要方》)治肠痈:牡丹、甘草、败酱、生姜、茯苓各6g,薏苡仁、桔梗、麦门冬各9g,丹参、芍药各12g,生地黄15g。上药,咀。以水1000ml,煮取300ml,日服2次。 ⒂牡丹汤(《圣济总录》)治臌胀:牡丹皮45g,桃仁(汤浸,去皮、尖,双仁,炒)21枚、槟榔(锉)、桑根白皮(锉)各60g,鳖甲(去裙襕,醋炙,锉)36g,大黄(锉,炒)30g,厚朴(去粗皮,生姜汁炙)、郁李仁(汤浸,去皮、尖)、枳壳(去瓤,麸炒)各45g。上药,锉碎。每服15g,用水400ml,加生姜4g,切,煎至250ml,去滓。空腹时温服,半小时后再服。 ⒃牡丹皮汤(《医醇賸义》)治湿热内蕴,移于下焦,小溲混浊作痛:丹皮6g,赤芍3g,木通3g,泽泻4.5g,萆薢、花粉、瞿麦、车前各6g,甘草1.2g。用苡仁60g煎汤代水,再入上药煎服。 ⒄大黄牡丹汤加减(《中药临床应用》)治急性阑尾炎:丹皮、连翘各15g,大黄9g(后下),桃仁9g,生甘草6g,冬瓜仁、银花、生苡仁各30g。水煎服。 ⒅丹皮野菊汤(《中药临床应用》)治高血压和动脉硬化而有肝郁积热症状者,包括眼底动脉硬化,血管痉挛,眼底出血等:丹皮6g,野菊花、佩兰各9g,银花藤,鸡血藤各18g,石决明30g。水煎服。 ⒆养血通经汤(《寿世保元》)治室女血虚经闭,咳嗽发热:牡丹皮、当归各4.5g,白芍、陈皮、白术(去芦)、香附、生地黄各3g,川芎、柴胡、黄芩各2g,甘草1.5g。上锉1剂。水煎,空腹时热服。 ⒇《全国中草药汇编》:“治肝郁血热,月经不调:牡丹皮、栀子、当归、白芍、茯苓、白术各9g,柴胡6g,甘草、薄荷各3g。水煎服。” (21)《全国中草药汇编》:“治急性荨麻疹:丹皮、赤芍、连翘、地肤子各9g,蝉衣4.5g,浮萍草3g。水煎服。” (22)《秘传内府经验女科》:“治胎前衄血:丹皮,黄芩,蒲黄,白芍,侧柏叶。共为细末,早米糊为丸。空心白汤下百丸。” (23)《千金方》:“治腕折瘀血:牡丹皮30g,虻虫20枚。上2味治下筛,酒服9g。” (24)《诸证辨疑》:“治妇人恶血攻聚上面,多怒:牡丹皮15g,干漆(烧烟尽)15g。水300ml,煎150ml,服。” (25)《安徽中草药》:“治血痢:丹皮炭,地榆炭各9g,黄柏6g,木香,枳壳各3g。煎服。” (26)《安徽中草药》:“治经闭腹痛:酒炒丹皮,当归,川牛膝各9g,桂枝3g。煎服。” (27)中西医结合杂志 1985;(4):“治原发性血小板减少性紫癜:丹皮30g,生地15g,当归12g,赤芍,白芍,丹参,阿胶和鹿角胶各10g。丹皮用量:3岁以下者12~15g(余药均用6g);4~7岁用20g;8~10岁用25g(余药按成人量酌减)。每日1剂,分3次服,4剂为1疗程。鼻衄加茅根20g,藕节5个,血余炭3g;齿衄加生石膏30g,知母10g,血余炭3g;眼结膜出血加山栀3g,女贞子10g,旱莲草10g,血余炭3g;便血加槐花炭10g,地榆炭10g;尿血加黄柏、知母、侧柏炭10g,血余炭3g。” (28)湖南医药杂志 1983;(4):“治过敏性鼻炎:牡丹皮(干品)1.5kg浸泡于清水1天,蒸馏成2000ml溶液。乳白色药液装入滴瓶备用,每日3次滴鼻。”

单方应用:①《补缺肘后方》:“治下部生疮,已决洞者:牡丹皮9g,日3服。” ②《安徽中草药》:“治过敏性鼻炎:丹皮6g,煎服,连服10天。”

医药家论述

①张元素:“牡丹皮,治神志不足,神不足者手少阴,志不足者足少阴,故仲景八味丸用之,能泻阴中之火。牡丹皮入手厥阴、足少阴,治无汗骨蒸;地骨皮(入)足少阴、手少阳,治有汗骨蒸也。”“牡丹皮治无汗之骨蒸,须与青蒿子、天麦门冬、沙参、地黄、五味子、牛膝、枸杞之属同用,始得其力。” ②李杲:“心虚肠胃积热,心火炽甚,心气不足者,以牡丹皮为君。” ③李时珍《纲目》:“牡丹皮,治手足少阴、厥阴四经血分伏火。盖伏火即阴火也,阴火即相火也,古方惟以此治相火,故仲景肾气丸用之。后人乃专以黄檗治相火,不知丹皮之功更胜也,赤花者利,白花者补,人亦罕悟,宜分别之。” ④黄宫绣《本草求真》:“世人专以黄柏治相火,而不知丹皮之功更胜。盖黄柏苦寒而燥,初则伤胃,久则伤阳,苦燥之性徒存,而补阴之功绝少,丹皮能泻阴中之火,使火退而阴生,所以入足少阴而佐滋补之用,较之黄柏不啻霄壤矣。” ⑤严洁等《得配本草》:“丹支、川柏,皆除水中之火,然一清燥火,一降邪火,判不相合。盖肾恶燥,燥则水不归元,宜用辛以润之,凉以清之,丹皮为力;肾欲坚,以火伤之则不坚,宜从其性以补之,川柏为使。” ⑥邹澍《本经疏证》:“牡丹皮入心,通血脉中壅滞与桂枝颇同,特桂枝气温,故所通者血脉中寒滞,牡丹皮气寒,故所通者血脉中热结。” ⑦王秉衡《重庆堂随笔》:“丹皮虽非热药,而气香味辛,为血中气药,专于行血破瘀,故能堕胎,消癖。所谓能止血者,瘀去则新血自安,非丹皮真能止血也。血虚而感风寒者,可用以发汗,若无瘀而血热妄行,及血虚而无外感者,皆不可用,惟入于养阴剂中,则阴药借以宣行而不滞,并可收其凉血之功,故阴虚热入血分而患赤痢者,最为妙品。然气香而浊,极易作呕,胃弱者服之即吐。诸家《本草》皆未言及,用者审之。” ⑧缪希雍《本草经疏》:“牡丹皮,其味苦而微辛,其气寒而无毒,辛以散结聚,苦寒除血热,入血分,凉血热之要药也。寒热者,阴虚血热之候也。中风瘛疭、痉、惊痫,皆阴虚内热,营血不足之故。热去则血凉,凉则新血生,阴气复,阴气复则火不炎而无因热生风之证矣,故悉主之。痈疮者,热壅血瘀而成也。凉血行血,故疗痈疮。辛能散血,苦能泻热,故能除血分邪气,及癥坚瘀血留舍肠胃。脏属阴而藏精,喜清而恶热,热除则五脏自安矣。《别录》并主时气头痛客热,五劳劳气,头腰痛者,泄热凉血之功也。甄权又主经脉不通,血沥腰痛,此皆血因热而枯之候也。血中伏火,非此不除,故治骨蒸无汗,及小儿天行痘疮,血热。东垣谓心虚肠胃积热,心火炽甚,心气不足者,以牡丹皮为君,亦此意也。” ⑨倪朱谟《本草汇言》:“沈拜可先生曰:按《深师方》用牡丹皮,同当归、熟地则补血,同莪术、桃仁则破血、同生地、芩、连则凉血,同肉桂、炮姜则暖血,同川芎、白芍药则调血,同牛膝、红花则活血,同枸杞、阿胶则生血,同香附、牛膝、归、芎又能调气而和血。若夫阴中之火,非配知母、白芍药不能去;产后诸痰,非配归、芎、益母不能行。又欲顺气疏肝,和以青皮,柴胡;达痰开郁,和以贝母、半夏。若用于疡科排脓、托毒、凉血之际,必协乳香、没药、白芷、羌活、连翘、金银花辈,乃有济也。”

参考文章