紫荆丫

概况

异名:短枝六道木(《全国中草药汇编》),通花梗(《新华本草纲要》)。

基源:为忍冬科六道木属短枝六道木的花或果实。

原植物:短枝六道木Abelia englenana(Graebn.)Rehd.(Linnaea engleriana Graebn.)

形态:灌木,高达2m,幼枝有短柔毛。叶对生,卵形、椭圆状卵形或椭圆状披针形,长5~8cm,先端尖锐或渐尖,基部楔形,边缘疏生小锯齿,绿色有光泽,背脉上疏生白色微毛;叶柄短或近于无。花数朵,腋生或顶生于短侧枝上;萼片2,长椭圆形;花冠玫瑰红色,5裂,直径约1.5cm,自下部至中部为筒状,上部喇叭状,基部一侧膨大;雄蕊4,2强;子房下位,3室,花柱伸长。瘦果具1种子,顶部有膨大的宿存萼片。花期6~7月,果熟期8~9月。(图见《中国高等植物图鉴》.第4册.303页.图6020)

生境与分布:生长于山坡丛林中。分布于四川、湖北、陕西等地。

化学性质

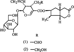
附 同属植物大花六道木(Abelia grandiflora(Andre)Rehd.)的叶含两种新的裂环烯醚萜甙,命名为六道木甙A(1),B(2)(AbeliosideA,B),同时还分得已知化合物茶茱萸甙(Cantleyoside)和野续断甙Ⅱ(Sylvestroside Ⅱ)。

参考文献

Phytochemistry 1985;24(10):2329。

药性

性味:苦、涩,平。

功效:去风湿,解热毒。

主治:风湿筋骨疼痛,涂痈疮红肿。

用法用量:内服:煎汤,15~24g。外用:捣敷。

临床应用

方选和验方: 《四川中药志》:“治痈疮红肿:紫荆丫、一枝蒿、红牛膝各适量,共捣绒涂。”