鹿耳翎

概况

异名:鹿耳草(《生草药性备要》),八十缺、毛六猬、八楞风、蜡达草、羊仔菊(《福建民间草药》),辘轴风(《陆川本草》),四方根(《南宁市药物志》),六盘金(《闽东本草》)、羊毛草(《贵州草药》),六耳消(《广西中药志》),羊耳三稔(《广东中药》)。

基源:为菊科六棱菊属植物六棱菊的全草。

原植物:六棱菊Laggera alata(D.Don)Sch.-Bip.ex Oliv.(Erigeron alatum D.Don)

形态:多年生草本。茎粗壮,直立,高40~100cm,基部木质,上部多分枝,有沟纹,密被淡黄色腺状柔毛。叶互生,无柄;叶片椭圆状倒披针形或椭圆形;长8~18cm,宽2~7.5cm,顶端钝,基部渐狭,沿茎下延成茎翅,边缘有细疏齿,两面密被贴生、扭曲或头状腺毛;上部或枝生叶渐小,线状披针形或线形,长16~35mm,宽3~7mm,顶端短尖或钝,边缘有疏生的细齿或有时不显著。头状花序多数,下垂,径1~1.5cm,组成总状花序式,着生于具翅的小枝叶腋或在枝茎顶组成圆柱形或尖塔形的大型总状圆锥花序;花序梗长10~20mm,密被腺状柔毛;总苞近钟形;长约12mm,总苞片约6层,外层叶质,绿色或上部绿色,内层干膜质;缘花丝状,雌性;中央花管状,两性。瘦果圆柱形,长约1mm,被柔毛,有10棱;冠毛白色,易脱落。花果期10月至次年2月。(图见《中国高等植物图鉴》第4册.457页.6327)

生境与分布:生于海拔180~440m的山坡草地、灌丛或河沟边。分布于中国东部,南部和西南部。印度、东南亚及非洲也有分布。

生药

采集:秋季采收全草,洗净,切断,晒干。药材产于广东、福建、广西等地。

鉴别:老茎粗壮,粗约6mm,灰棕色,有不规则纵皱,枝条棕黄色,有皱纹及黄毛,茎枝具翅4~6条,灰绿色至黄绿色,被有短毛;质坚而脆,断面中心有髓。叶互生,多破碎,长椭圆形,灰绿色至黄棕色,被黄色的毛。气香,味微苦辛。以叶多、青黄色、无根者为佳。

贮藏:置干燥处。

化学性质

全草含黄酮甙,酚类、有机酸、氨基酸及糖类[1]。另从叶挥发油中分得34种精油,主要为单萜和倍半萜,油中成份因植物生长地区而异,其中有桉醇(Eudesmol)、杜松醇(Cadinol)、榄香醇(Elemol)、橙花叔醇(Nerolidol)、葎草烯(Humulene)、β-石竹烯(β-Caryophyllene)等[2]

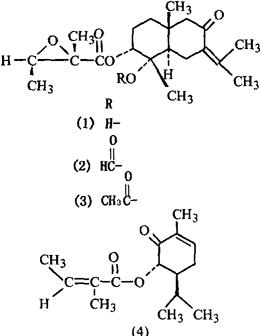
从地上部分得3-O-(2′,3′-环氧-2′-甲基丁酰)香阔苞菊酮[3-O-(2′,3′-Epoxy-2′-methylbutyroyl)-cuauhtemone](1)及其甲酸酯(2)和乙酸酯(3),5-去氧长裂蒿醇(5-Desoxylongilobol,即Dihydroxyeudesmene),3-甲氧基-4-乙酰氧基肉桂醇当归酸酯,以及化合物6S-羟基香芹艾菊酮当归酸酯(4)(6S-Hydroxycaryotanacetone angelate)[3]

另参见“羊毛草根”条。

参考文献

[1] 江苏新医学院.中药大辞典.上海人民出版社,1977∶2238。
[2] CA 1990;112∶155282y[Planta Med 1989;55(6)∶573]。
[3] Phytochemistry 1989;28(11)∶3097(CA 1990;112∶95488h)。

药性

性味:辛,温。 ①《本草求原》:“甘、辛,平。” ②《新华本草纲要》:“辛,苦,寒。” ③《福建民间草药》:“苦、微辛,温。” ④《南宁市药物志》:“辛、苦,微温。”

归经:《闽东本草》:“入肺、脾、膀胱三经。”

功效:清热解毒,消炎消肿,祛风逐湿,通经止痛。

主治:①《生草药性备要》:“敷疮。” ②《本草求原》:“解毒生肌,消肿拔毒,去结毒,理蛇伤烂。” ③《岭南采药录》:“治蛇伤,消恶疮,跌打伤。” ④《陆川本草》:“风湿骨痛,痢疾,眼痒痛。” ⑤《新华本草纲要》:“感冒发热,疮疡肿毒,风湿关节炎,肠炎,肝炎,蛇咬伤,湿疹,口腔炎.跌打损伤,闭经。” ⑥《南宁市药物志》:“治远年积血,发热痧气。” ⑦《闽东本草》:“治外感头痛,骨节疼痛,腹胀腹痛,积滞泄泻,妇人经闭。” ⑧《广西药用植物名录》:“感冒发热,蛇伤,口腔炎,过敏性皮炎,传染性肝炎,胃肠炎,小儿惊风。”

用法用量:内服:煎汤,10~15g(鲜品者30 60g)或捣汁。外用:捣敷或煎水洗。

临床应用

单方应用:①《福建民间草药》:“治腰痛:鹿耳翎30~60g。水酒各半煮服。” ②《福建民间草药》:“治虚肿腹胀:鹿耳翎30~60g。水煎服。” ③《福建民间草药》:“治妇女闭经,劳伤吐血,跌打损伤:鹿耳翎15~30g。酒煮服。” ④《闽东本草》:“治腹痛吐泻:鹿耳翎9g,观音茶5g,生姜3片水煎服。” ⑤《福建中草药》:“治风寒咳嗽;鹿耳翎干花序15~18g。蜜炒,水煎服。”

食疗:①《闽东本草》:“治瘰疬:鹿耳翎全草500g。水煎去渣,用母鸡(去毛及肚杂)1只,红酒少许炖熟,分3~4次服。” ②《福建民间草药》:“治头痛:鹿耳翎30~45g。酒炒后用鸡1只或羊头1个炖服。”