蟾皮

概况

异名:蛤蚆皮(《医方约说》),癞蟆皮(《中药材手册》)

基源:为蟾蜍蟾蜍属动物中华大蟾蜍或黑眶蟾蜍等的皮。

原动物:中华大蟾蜍Bufo bufo gargarizans Cantor。黑眶蟾蜍Bufo melanostictus Schneider

余项参见“蟾头”条。

生药

采集:4~8月捕捉,捕后洗净,杀死,剖腹去内脏,晒干。或杀死后直接晒干(名干蟾)。

加工炮制:刷净灰土,割去头、爪,切成方块。将铁砂倒入锅内炒热,将切好的蟾皮放入拌炒,至微焦发泡时取出,放凉。

贮藏:放置阴凉干燥处。

鉴别:因加工方法不同,形状亦异。除去内脏者呈扁平板状,厚约1mm,头部略呈钝三角形,四肢屈曲向外伸出。外表面背部灰黑色,腹部黄白色,布有绿黑色疣点;内表面黄白色,中央脊椎突起;前肢较长,后肢趾间有蹼。质韧,不易折断。气腥臭,味微麻。干燥全体者呈干瘪状,四肢完整,有的屈曲,有的伸直,背面通过黑褐色,并带瘰疣,腹面土褐色,并有黑斑。气腥。以身干、个大、完整者为佳。

化学性质

蟾皮的化学成分,一般是活蟾于低温约-40℃下冷冻后剥下其皮进行提取分离而得。主要活性成分为蟾蜍毒类及蟾毒配基类。

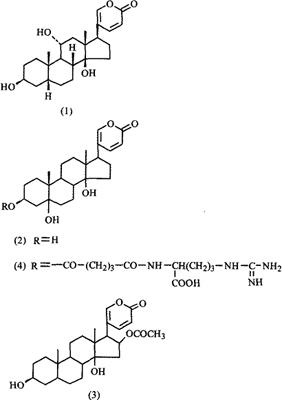
中华大蟾蜍皮中分离出脂蟾毒配基(Resibufogenin)、华蟾毒精(Cinobufagin)、蟾毒灵(Bufalin)、日蟾毒它灵(Gamabufotalin)(1)、远华蟾毒精(Tetocinobufagin)(2)、蟾毒它灵(Bufotalin)(3)、胆甾醇、β-谷甾醇、棕榈酸胆甾烯酯(Palmitaic acid cholesteryl ester)和去氢蟾蜍色胺氢溴酸盐(Dehydrobufoteninehydrobromide),N-苯基-2-萘胺(N-Phenyl-α-naphthyl amine)以及19种脂肪酸的混合物[1]。又分出脂蟾毒配基-3-丁二酰精氨酸酯(Resibufogenin-3-Succinyl arginine ester)、华蟾毒精-3-丁二酰精氨酸酯(Cinobufagin-3-succinyl-arginine ester)、蟾毒它灵-3-丁二酰精氨酸酯(Bufotalin-3-succinyl Arginine ester)和去氢蟾蜍色胺氢溴酸盐(Dehydrobufoteninehydrobromide),N-苯基-2-萘胺(N-Phenyl-α-naphthyl amine)以及19种脂肪酸的混合物[1]。又分出脂蟾毒配基-3-丁二酰精氨酸酯(Resibufogenin-3-succinyl arginine ester)、华蟾毒精-3-丁二酰精氨酸酯(Cinobufagin-3-succinyl arginine ester)、蟾毒灵-3-丁二酰精氨酸酯(Bufalin--3-succinylarginine ester)、蟾毒它灵-3-丁二酰精氨酸酯(Bufotalin-3-succinylarginine ester)[2],还分出去乙酰基华蟾毒精-3-丁二酰精氨酸酯(Desacetylcinobufagin-3-succinylarginine ester)、华蟾毒精-3-硫酸酯(Cinobufagin-3-sulfate)[3]。此外,尚含色氨酸吡咯酶、多种喋啶类物质[4]。 黑眶蟾蜍B.melanostictus Schneider的皮中分离出L-组氨酸、L-1-甲基组氨酸、L-3-甲基组氨酸代替精氨酸部分的蟾蜍毒类物质。有:蟾毒它灵-3-辛二酰基-L-组氨酸酯(Bufotalin-3-suberoyl-lhistidine ester)、蟾毒它灵-3-辛二酰基-L-3-甲基组氨酸酯(Bufotalin-3-suberoyl-L-3-methy histidine ester)、蟾毒它灵-3-辛二酰基-L-1甲基组氨酸酯(Bufotalin-3-suberoyl-L-l-methyl histidine ester)、19羟基蟾毒灵-3-辛二酰基-L-组氨酸酯(19-Hydroxy-bufalin-3-suberoyl-L-histidine ester)、19羟基蟾毒灵-3-辛二酰基-1-3-甲基组氨酸酯(19-Hydroxybufalin-3-snberoyl-L-3-methylhistidine ester)[5]。 华西大蟾蜍B,bufo andrewsi(Schmidt)的皮中还得到砂蟾毒精(Arenobufagin)[6]

附:从我国台湾产曼谷蟾蜍B、bankorensis Borbour的皮中得到海蟾毒精-3-丁二酰基-L-精氨酸酯(Marinobufagin-3-succinyl-L-arginine ester)、海蟾毒精-3-戊二酰基-L-精氨酸酯(Marinobufagin-3-glutaryl-Larginine ester)、远华蟾毒精-3-戊二酰基-L-精氨酸酯(Telocinobufagin-3-glutaryl-L-arginine ester)(4)、蟾毒灵(Bufalin)、脂蟾毒配基(Resibutogenin)、沙蟾毒精(Arenobufagin)、蟾毒它灵(Bufotalin)、远华蟾毒精(Telocinobufagin)(2)、海蟾毒精(Marinobufagin)、日蟾毒它灵(Gamabufotalin)[7]

从日本产台湾蟾蜍B、vulgaris formosus Boulenger的皮中分到脂蟾毒配基-3-单丁二酸酯(Resibufogenin-3-hemisuccinate)、脂蟾毒配基-3-丁二酰精氨酸酯(Resibufogenin-3-suecinylarginine ester)、[8];日蟾毒它灵-3-单庚二酸酯(Gamabufotalin-3-hemipimelate)、蟾毒配基-庚二酰精氨酸酯(Bufogenin pimeloyl arginine ester)[9]羊角拗配基-3-单辛二酸酯(Sarmentogenin-3-hemisubelate)、羊角拗配基-3-庚二酰基精氨酸酯(Sarmentogenin-3-pimeloyl arginine ester)、[10];蟾毒灵-3-硫酸酯(Bufalin-3-sullate)、羊角拗配基-3-硫酸酯(Sarmentogenin-3-sulfate)[11]、[12];脂蟾毒配基(Resibufogenin)、华蟾毒它灵(Cinobufotalin)、蟾毒灵(Bufalin)、日蟾毒它灵(Gamabufotalin)(1)、远华蟾毒精(Telocinobufagin)(2)、蟾毒它里定(Bufotalidin)、去乙酰华蟾毒精(Desacetylcinobufagin)、去乙酰蟾毒它灵(Desacetylbufatalin)[13],日蟾毒它里灵醇(Gamabufotalininol)[14],蟾蜍色胺(Bufotenine)、蟾蜍硫宁(Butothionine)、蟾蜍特尼啶(Bufotenidine)[13,15],三羟丙基蝶素(Trihydroxypropylpterisin)[16]

参考文献

[1] 中草药 1992;23(3):117。
[2] 药学学报 1992;27(9):679。
[3] Chem Pharm Bull,1987;35(12):4996。
[4] 中国药用动物志.第二册.天津科学技术出版社,1983:274。
[5] Chem PharmBull,1984;32(11):4396。
[6] 中国药学杂志 1990;25(3):138。
[7] Chem Pharm Bull,1987;35(6):2300。
[8] Tetrahedron Lett 1974;(5):467。
[9] Tetrahedron Lett 1975;(9):653。
[10] Tetrahedron Lett 1975;(34):3017。
[11]Chem Pharm Bull,1976;24(5):1118。
[12] Chem Pharm Bull,1977;25(4):714。
[13] 药学杂志(日) 1961;81:1339。
[14] 药学杂志(日) 1961;81:1345。
[15] 药学研究(日) 1961;33:64。
[16] 医学中央杂志(日) 1962;(171):824。

药性

性味:《本经逢原》:“辛,凉。微毒。”

功效:清热解毒,利水消胀。

主治:痈疽,肿毒,瘰疬,肿瘤,疳积腹胀,慢性气管炎。 ①《纲目拾遗》;“贴大毒,能拔毒、收毒。” ②《本草求原》:“贴疮瘰,艾灸。” ③《浙江中药手册》:“为小儿五疳惊风药,又能利小便,消腹胀。”

用法用量:内服:煎汤或研末,3~6g。外用:敷贴或研末调敷。

临床应用

方选和验方: ①《纲目拾遗》:“治瘰疬脓已尽,肿已平,疮口未敛:虾蟆皮2个(活剥),鼠皮2张,蛇蜕2条,蜂房(大)1个,具煅灰。用水胶37g以井华水100ml化开,蜜37g,蜈蚣煎麻油80ml和,调前药灰。临用入麝香0.4g搅匀,摊绢上,贴患处。敛疮口。” ②吉林医药资料 1971;(2):“治疗恶性肿瘤:蟾皮0.4g,儿茶0.4g,元胡0.2g,共研细末压片。每次服片1.0g,日服1次。2周后,每次增加0.2~0.4g,3周为1疗程。”

单方应用:①《千金方》:“治肠头挺出:蟾皮1片,瓶内烧烟熏之,并以蟾皮(外面向患处)敷之。” ②黄汝良《行箧检秘》:“治指头红肿,生毒:活蟾1个,生剥皮,将外面向患处包好。痘疹后回毒亦可用此。” ③《灵秘丹》:“治痈疽疮毒:活虾蟆1个,剥全身癞皮盖贴疮口,皮上针刺数孔以出毒气。” ④《药检启秘》:“治肿毒:干蟾皮不拘多少,研末,用金银花露调敷患处。” ⑤福建省医药卫生 1972;(1):“治疗慢性气管炎:活蟾蜍剥取整皮,烤千研末,陈蜜制为丸或装胶囊,每次口服1g,日2次,10天为1疗程。” ⑥江苏省常州市卫生资料选编 1972;(4):配合中药及化疗等用治食道癌、肝癌、乳房癌等:活蟾蜍剥皮(连头及眼,挑破表面腺体颗粒)表皮接触皮肤,贴敷癌肿患处(深部癌,按穴位)外盖油纱布,再以纱布固定,日2次。另以蟾皮晒干,黄沙炒脆,研粉制丸,每粒3g,每次服3~5粒,日3服。或用蟾皮制成针剂(每1ml约含鲜皮1g),每次肌肉注射2ml,日1~2次配合外敷同时使用。” ⑦四川中草药通讯 1972;(4):“配合手术切除治疗结肠、直肠癌患者:蟾皮1张,水煎成100ml,每日分3次服完。或用蟾皮文火焙干,装胶囊(每粒0.25g),每次2~3粒,日3~4次。”

参考文章