药材名称:枳椇叶
名称出处:姚可成《食物本草》
概况基源:为鼠李科枳椇属植物枳椇和北枳椇的叶。
原植物:枳椇Hovenia acerba Lindl.。北枳椇H.dulcis Thunb.
余项参见“枳椇”条。
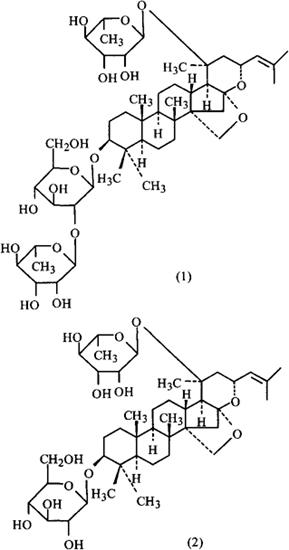
化学性质
含皂甙(Saponin)A1、A2、B、C1、C2、D(1)、E、F、G(2)和H[1],近年来用碱裂解Saponin D,获得真正的皂甙元是酸枣仁皂甙元(Jujubogenin),并得到另一种皂甙20-O-α-L-Rhamnopyranosyljujubogenin[2],另尚含有水溶性的甜味成分枳椇素(H。dulcin),亦为三萜类皂甙,分解得到森林匙羹藤酸(Gymnemic acid)和Ziziphins[3]。
参考文献
[1] J Chem Soc Perkin Trans I 1981;(7):1923。
[2] Chem Pharm Bull 1987;35(6):2574。
[3] CA 1989;110:113363d。
功效:解酒毒,下死胎。
主治:酒醉,风热感冒,外感腹痛,死胎不下。 ①姚可成《食物本草》:“治死胎不出,用枳椇叶14片,水酒各250ml,煎8分服。” ②《陕西中草药》:“枳椇枝叶,熬膏服,功效同果梗,且能止呕,解酒毒及铁棒锤(毛茛科植物)毒。” ③《新华本草纲要》:“叶,主治酒醉,风热感冒,外感腹痛,死胎不下。”
用法用量:内服:煎汤,9~15g。
临床应用单方应用:姚可成《食物本草》:“治死胎不出:枳椇叶14片,水、酒各250ml,煎8分服。”