海胆

概况

异名:海肚齐、刺海螺、刺锅子(《山东中草药手册》)。

基源:为球海胆科马粪海胆属动物马粪海胆,球海胆属动物光棘球海胆;或刻肋海胆科刻肋海胆属动物细雕刻肋海胆,哈氏刻肋海胆等。药用其石灰质骨壳。

原动物:马粪海胆Hemicentrotus pulcherrimus(A.Agassiz)。光棘球海胆Strongylocentrotus nudus(A.Agassiz)。细雕刻肋海胆Temnopleurus toreumaticus(Leske)。哈氏刻肋海胆Temnopleurus hardwickii(Gray)

形态:马粪海胆 全体呈半球,直径约3~5cm,口面平坦,反口面隆起。壳板很矮,板上的疣很密集,各板间的界限不清楚,板间缝合线完全没有凹痕或缺刻。棘密布于壳面,形短而尖锐,长5~6mm,有的个体大,棘向外方,使步带和间步带的中线露出一条裸出线。步带板上每4对管足孔排列成斜弧形;大疣很小,排成纵行;中疣和有孔常中间的疣排列成水平的横行。间步带板上有一个大疣和5~6个中疣排成纵行。棘普通为暗绿色,有的带紫、灰红、灰白、褐或赤褐,还有带白色的。壳为暗绿或灰绿色。

生境与分布:栖息在潮间带到水深4m的岩礁底。分布于山东、河北、辽宁等地沿海。

光棘球海胆 呈半球状,个体较大,壳直径可达100mm。壳板缝合线无凹陷或缺刻。每个步带板有一个大疣、2~4个中疣和许多小疣。大疣排成垂直的纵行。管足孔每6~7对排成一弧。大棘粗壮,长25~30mm,从基部到末端显然末端渐变细,但末端并不尖锐,稍带截断形,表面有规则的纵条痕。管足内有C形骨片。大个体棘为黑紫色,小个体棘为紫褐色或黑褐色。壳为灰绿色。

生境与分布:生活在潮间带到水深180m的岩礁底。

细雕刻肋海胆 壳厚而坚固,多为半球形。壳的直径一般为30~40mm。具管足孔的步带稍隆起,宽度约为不具管足孔的间步带的2/3。赤道部以上各步带板水平缝合线上,有大而明显的三角形凹痕。管足孔每3对排列为一弧。间步带板缝合线上的凹痕更为显著。赤道部各步带有一大疣,一个中疣和多数小疣;各间步带板有3个大小相等的疣,排列为一横行,另外还有多数中疣和小疣,壳顶的骨板自成一系,称为顶系。顶系稍凸起,眼板都不接触到围肛部。围肛板裸出,肛上板显著。肛门靠近中央。反口面大棘很小,呈针状。口面大棘较长,略弯曲;赤道部大棘最长,末端宽而扁,呈截形。壳为黄褐、灰绿等色。大棘在灰绿、黑绿或浅黄褐色的底子上,有3~4条紫色横斑。栖息于泥沙底,常成群地集中在一起。分布于辽宁、河北、山东等地沿海。

哈氏刻肋海胆 与刻肋海胆相似,但壳比较低,步带狭窄,稍隆起。各步带板水平缝合线上的凹痕比间步带的小。步带的有孔带很窄,管足孔很小。间步带宽,各间步带板水平缝合线上凹痕大而明显,边缘倾斜,内端深陷成孔状。大棘没有横斑,棘基部明显呈黑褐色。生活在水深5~35m的浅海,底质多砂砾、石块和碎贝壳。分布于辽宁、河北及山东沿海的浅海区。

生药

采集:夏季捕捉,以沸水烫死,去内脏和棘刺,洗净晒干。主产于山东、河北、辽宁沿海。

鉴别:呈中空的半球形,直径3~4cm,厚约2~3cm,较扁平的一面为棕黄色,中央有圆形口孔,围口部略向内凹下,口内边缘着生5个U字形互相连接的薄片状齿。背面棕色而隆起,其中心有一个十角星状的孔。石灰质骨板排列整齐,形成10个辐射状的带,其中5带较窄、疣状突起较小,外侧的步带区有无数细孔。与步带区间隔排列的5带为间步带区,带区内疣状突起较大,无细孔。质坚硬而轻,不易折断,断面淡蓝色,气微,味辛。

加工炮制:去净杂质,捣碎。

化学性质

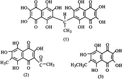
马粪海胆:骨壳主含钙质。光棘球海胆、细雕刻肋海胆、哈氏刻肋海胆:含两种海胆素Spinochrome AK2及Spinochrome B[2]。马粪海胆棘刺含多种苯醌衍生物的色素[1]和两种海胆素Spinochrome AK2及Spinochrome B[2]。 多种海胆骨胳中都含有一种主要色素Ethylidene6,6′-bis(2,3,7trihydroxynaphthazarin)(1)[3]。光棘球海胆骨壳中含有具抗瘤作用的糖蛋白[4、5]和色素3-Acetyl-6-methyl-2,7-dihydroxynaphazarin(2)[3]

海胆中含有抗菌成分6-乙基-2,3,5,7,8-五羟基-1,4-萘醌(3)[6]

参考文献

[1] 中药大辞典.下册.上海人民出版社,1977:1930。
[2] 中国药用动物志.第2册.天津科学技术出版社,1983:164。
[3] CA 1980;93:129021g。
[4] CA 1985;103:76234v。
[5] CA 1983;99:181458t。
[6] CA 1989;110:54368j。

药性

性味:①《中药志》:“咸,平。” ②《山东中草药手册》:“有小毒。”

功效:软坚散结,化痰消肿。

主治:淋巴结结核,积痰不化,哮喘,胸胁胀病。 ①《本草原始》:“治心疼。” ②《中药志》:“软坚散结,化痰消肿。治瘰疬痰核,积痰不化,胸胁胀痛。”

用法用量:内服:煎汤,3~6g;或研末。

临床应用

方选和验方: 《中国动物药》:“治颈淋巴结结核:海胆6g,夏枯草15g,浙贝母9g,水煎,日服2次。”

单方应用:《中国动物药》:“治胃痛:海胆焙干研末,每服2g,日服2次。”

参考文章