大叶桉叶

概况

基源:为桃金娘科桉属植物桉的叶。桉属全世界约600种;中国引种近80种,其中7种可供药用。

原植物:桉Eucalyptus robusta Smith(E.multiflora Poir.)

历史:原产澳大利亚,引入栽培不到一百年。

形态:乔木;树皮不剥落,暗褐色,有槽纹;小枝淡红色。幼叶对生,叶片厚革质、卵形,长约11cm,宽达7cm;成熟叶互生,厚革质,狭卵形或宽披针形,全缘,长8~18cm,宽3~7.5cm;侧脉多而明显,与中脉近成直角,两面均有腺点;有叶柄;伞形花序粗大,腋生或侧生,有花4~8朵;总花梗粗而扁,常有棱角;花直径1.5~2cm;萼筒管半球形或倒圆锥形,长7~9mm,宽6~8mm,下部渐狭成柄,萼帽状体厚,先端收缩成喙,和萼筒等长或稍长;雄蕊多数,分离。蒴果倒卵形至壶形,长1~1.5cm,上半部微收缩,蒴口稍扩大,果瓣3~4,深藏于萼管内。花期8~11月,果期6~12月。(图见《中国高等植物图鉴》.第2册.997页.图3724)

生境与分布:原产澳洲。中国以长江流域以南至华南、西南栽培为多,陕西南部也有栽种。引种最北端为陕西汉中的阳平关。

生药

栽培:宜温暖湿润环境,怕严霜。以土层深厚、土质肥沃、疏松的砂质壤土为好。用种子繁殖,育苗移栽。在3月下旬至4月上旬播种,撒播。播时,将种子与草木灰拌混后撒于苗床上,并覆盖细土一层,以不见种子为宜,稍加镇压后盖草浇水,保持土壤湿润。出苗时揭去盖草,搭设荫棚,结合除草进行追肥1次。苗高0.7~1.0m时,即可分批移栽定植。可在春季或秋季进行种植,按行株距各1.7~2.0m开穴,每穴栽种1株。栽后每年需要培育管理1~2次,以利成林。

采集:秋季采收,阴干。

鉴别:叶镰刀状披针形,长8~30cm,宽2~7cm,叶端尖,叶基不对称,表面黄绿色,对光透视可见众多透明油点(油室)及红棕色木栓斑点;厚革质。气香,味稍苦,有清凉感。

贮藏:置阴凉干燥处。

化学性质

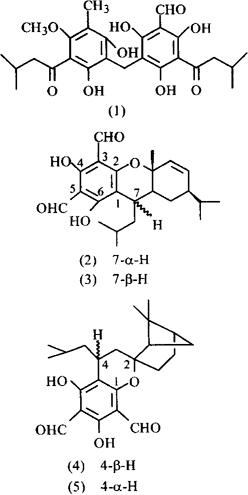
叶和顶生小枝平均出油率0.16%,挥发油中主含α-蒎烯、桉油精(C1-neole)、α-水芹烯(α-Phellandrene)、没食子酸(Gallic acid)[1]。其酚性成分中有多种黄酮体、鞣花酸、龙胆酸、咖啡酸和绿原酸等。叶中含有大叶桉酚甲(Robustaol A)(1)[2,3]、两种酚醛化合物Euglobal Ia1(2)和Euglobal Ia2(3),还有大叶桉二醛A(Robustadial A)(4)、大叶桉二醛B(Robustadial B)(5)。从叶中分得5-羟基-4’,7二甲氧基6.8-二甲氧基黄酮(Eucalyptin)、4’,5-二羟基-7-甲氧基-6,8-二甲基黄酮(Sideroxylin)、3β-羟基-乌索11-烯-28,13β-内酯、3β-乙酰氧基-乌索-11烯28,13β-内酯、3β,28-羟基-乌索12-烯(Uvaol)、β-谷甾醇、2甲基5,7-二羟基苯并吡喃酮-7β-葡萄糖甙、正卅烷醇和正卅烷酸及大叶桉酚乙(2-甲氧基-4,6-二羟基异丁酰基苯,Robustaol B)[4,6]

参考文献

[1] 中草药学.中册.江苏人民出版社,1976:705 。
[2] 化学学报 1981;39(1):83 。
[3] 药学通报 1984;19(9):42 。
[4] 化学学报 1986;44(2):151 。
[5] J Am Chem Soc 1984;106(3):734 。
[6] J Org Chem 1988;53(19):4562。

药理

本品叶中所含桉油精,有解热、抗炎、抗菌、平喘和镇痛(如头痛)作用[1],大叶桉酚甲,对鼠疟原虫有抑制作用[2]

参考文献

[1] 中草药成分化学.科学出版社,1977:486 CA 1980:93:101488r 。
[2] 化学学报 1981;39(1):83。

药性

性味:苦、辛,平。

功效:清热解毒。

主治:感冒,急性肠炎,痢疾,肾盂肾炎,丹毒,痈肿,烫伤,创伤感染,下肢溃疡,化脓性角膜炎,萎缩性鼻炎。

用法用量:内服:煎汤,6~9g(鲜品15~30g)。外用:煎水洗、搽或研末制成30%软膏外敷。

临床应用

方选和验方: ①《全国中草药汇编》:“治感冒:鲜大叶桉叶2kg,桑叶1.5kg,煎2次。过滤,浓缩成流浸膏状,加入野菊花粉末500g,搅匀,干燥,磨粉,加白糖适量装袋,每袋装10g。每次1~2袋,每日1~2次,开水冲服。” ②《全国中草药汇编》:“治肠道霉菌病:大叶桉叶、乌桕叶、鸭脚木叶、三叉苦叶各15~30g。水煎服,每日2次。7天为1个疗程。” ③江西《草药手册》:“治哮喘:大叶桉叶12g,白英3g,黄荆9g。水煎服。”

单方应用:①《岭南草药志》:“治感冒及流感:大叶桉叶约2500g,煎汤熏浴。” ②治疟疾(福建):大叶桉叶5~7片,红糖少许,水煎,于发病前服。 ③《常用中草药手册》:“防治感冒、流感、流脑、脑炎:大叶桉叶6~9g(鲜品15~30g),水煎服。” ④《常用中草药手册》:“治丹毒,蜂窝织炎,深部脓疡,创伤感染:大叶桉叶干品6~9g,鲜品15~30g,煎水内服。同时用15%~20%溶液,局部湿敷。” ⑤《广西中草药》:“治湿疹,烂疮:大叶桉叶,煎水,洗患处。” ⑥《浙江民间常用草药》:“治菌痢,急性肠胃炎:大叶桉鲜叶15~30g,水煎服。” ⑦《福建中草药》:“治荨麻疹:大叶桉鲜叶15~30g,水煎服。” ⑧江西《草药手册》:“治丝虫病:大叶桉鲜叶90g切丝,加水3倍,煎3小时,去渣浓缩至60ml左右,1次服。小儿1~4岁服1/4,5~10岁服1/3,11~15岁服2/3。服药后个别有头晕腰酸。” ⑨江西《草药手册》:“治下肢溃疡:20%桉叶汤,先洗患处,再以桉叶粉末撒,包扎。” ⑩《全国中草药汇编》:“治疖肿,皮肤溃疡:取大叶按叶1份,加水3份,煎至剩下1/6溶液时过滤,再浓缩至滴水成珠为度,以31加凡士林调匀,外敷患处。”