[拼音]:ziyuan zuiyou fenpei
[外文]:optimal allocation of resources
用运筹学和系统分析方法合理分配各种有限资源,从而以一定的资源消耗取得最大的经济效益。资源一词泛指人力、资金、可应用的自然资源、技术、人的知识和经验等,因而出现了人力资源、物力资源、财力资源、技术资源和信息资源等概念。资源分配有计划分配和市场调节两种基本方法。资源最优分配理论是苏联数理经济学家、苏联科学院院士Л.В.康托罗维奇于1959年首先提出来的,他因此而获得1975年诺贝尔经济学奖金。
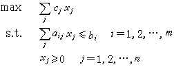
制订资源最优分配方案的实用方法有线性规划和动态规划等优化方法。资源最优分配的线性规划模型如下:
式中max表示求极大值,s.t.表示受约束于或约束条件是,cj为生产单位产品j 的利润,xj为产品j 的生产量,aij为生产单位产品j 消耗第i种资源的数量, bi为第i种资源的限制量,j 表示产品序号(此处共有n种产品),i表示资源编号(此处共有m 种资源)。1958年,荷兰计量经济学家J.廷伯赫主张在经济分析中使用影子价格。影子价格的理论计算方法是线性规划问题的对偶解。影子价格可解释为某一资源有微小增量时对目标函数的贡献率,因此可利用影子价格来分析有限资源的合理利用问题(见线性规划)。动态规划常用于多元分配(即一种资源分配给若干部门,如何分配使总的利润为最大)和多段分配(即某种资源按时间段进行分配,每一时间段分配多少,使总的利润为最大)。利用动态规划可得到资源最优分配的各种方案。