串联

若干个二端元件依次有一端相连且连接点上没有分支的联接方式(图1)。

图

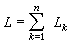
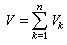
这是电路元件常用的一种连接方式。由元件串联而成的总体称为串联组合。其特点是, 流过各个元件的电流是同一个电流i,位于组合端点之间的电压等于各个元件的电压之和,即

公式 符号

式中n 代表串联的元件数。

当串联的电路元件是线性电阻元件时(图2),

图

整个串联组合等效于一个电阻元件,其阻值等于各串联元件的电阻之和。在图2所示的电阻元件的串联组合中,电压按下式分配

公式 符号

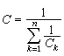
式中R 是串联组合的等效电阻,公式 符号称为分压比。电阻元件串联连接的分压作用是制作分压器的依据。

类似地,n个初始条件为零的线性电感元件串联时的等效电感为

公式 符号

n个初始条件为零的线性电容元件串联时的等效电容为

公式 符号

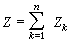
在正弦稳态下,电压、电流可改用相量表示,所有的无源二端元件皆可用复数阻抗或复数导纳来表征。п个复数阻抗的串联组合的等效复数阻抗为

公式 符号

式中ZK是串联组合中第 K个复数阻抗。上式还可进一步推广成适合复频域的形式,即n个算子(运算)阻抗的串联组合的等效算子阻抗为

公式 符号

式中ZK(s)是串联组合中第K个算子阻抗。

参考文章