分压器

采用部分电压以测量高电压的装置。分压器由高压臂阻抗Z1和低压臂阻抗Z2串联组成,一般Z1>>Z2测量仪器Z2相联。若仪器测得电压为U2,则待测电压U=KU2K称为分压比,一般为103~104K值在工作电压和温度等范围内应稳定,其误差应不大于1%。

分压器按选用的阻抗可分为电阻分压器、电容分压器和阻容分压器(又分阻容串联分压器和阻容并联分压器);按待测电压又分为直流分压器、交流分压器和冲击分压器。

测量直流高电压用电阻分压器,低压臂可接静电电压表。但实际上普遍用一高欧姆电阻器串联一毫安表来测量直流高压,即U=IRI一般取0.5~1毫安。测量工频高压,多数用电容分压器(图1),

图

U2用静电电压表测量,其分压比K

公式 符号

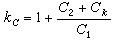
式中Ck为电缆Z的电容值。

测量冲击高压可用电阻分压器 (图2), 也可用电容分压器或阻容分压器(图3)。图中O是示波器或峰值电压表,Z是电缆波阻抗。电阻分压器的分压比kR

公式 符号

若要求更准确的测量,则尚需计入电缆心电阻对分压比的影响。电容分压器和阻容串联分压器的分压比kc均为

公式 符号

电阻分压器的测量准确度可较高,额定工作电压可至2兆伏左右。电容分压器较易引起波形振荡,因此兆伏以上的冲击电压还普遍采用性能良好的阻尼式电容分压器。它是一种阻容串联分压器,工作电压可很高,有时可兼作冲击电压发生器的负荷电容,还可设计成工频、冲击两用的分压器。

图 图