电离层

从离地面约50公里开始一直伸展到约1000公里高度的地球高层大气空域,其中存在相当多的自由电子和离子,能使无线电波改变传播速度,发生折射、反射和散射,产生极化面的旋转并受到不同程度的吸收。

大气的电离主要是太阳辐射紫外线X射线所致。此外,太阳高能带电粒子和银河宇宙射线也起相当重要的作用。太阳辐射使部分中性分子和原子电离为自由电子和正离子,它在大气中穿透越深,强度(产生电离的能力)越趋减弱,而大气密度逐渐增加,于是,在某一高度上出现电离的极大值。大气不同成分,如分子氧、原子氧和分子氮等,在空间的分布是不均匀的。它们为不同波段的辐射所电离,形成各自的极值区,从而导致电离层的层状结构。在电离作用产生自由电子的同时,电子和正离子之间碰撞复合,以及电子附着在中性分子和原子上,会引起自由电子的消失。大气各风系的运动、极化电场的存在、外来带电粒子不时入侵,以及气体本身的扩散等因素,引起自由电子的迁移。电离层内任一点上的电子密度,决定于上述自由电子的产生、消失和迁移三种效应。在不同区域,三者的相对作用和各自的具体作用方式也大有差异。

在55公里高度以下的区域中,大气相对稠密,碰撞频繁,自由电子消失很快,气体保持不导电性质。在电离层顶部,大气异常稀薄,电离的迁移运动主要受地球磁场的控制,称为磁层。

电离层的主要特性,由电子密度、电子温度、碰撞频率、离子密度、离子温度和离子成分等基本参数来表示。

研究概况

1902年,O.亥维赛和A.E.肯内利为了解释无线电信号跨越大西洋传播这一实验事实,提出了高空存在能反射无线电波的“导电层”的假设,当时称为肯内利-亥维赛层。1925年,e.v.阿普顿和 M.A.F.巴尼特用地波和天波干涉法最先证明了电离层的存在。次年,g.布赖特和M.A.图夫用一部雏型雷达测量了无线电脉冲从电离层垂直反射的时间,验证了上述结论。随着对电离层及其对电波传播影响的深入了解,30年代初,S.查普曼提出电离层形成的简单理论(查普曼层理论)。阿普顿和D.R.哈特里提出电磁波在电离层中传播的色散公式(阿普顿-哈特里公式)为解决预报天波传播最佳频率等应用问题奠定了理论基础。

电离层形态

电离层中电子密度等基本参量的空间结构(高度和经纬度分布)及其随时间(昼夜、季节和太阳活动周期)变化的情况。电离层可从低到高依次分为D层、E层和F层等,其中F层还可分为F1层和F2层。E层和F1层中,电子迁移作用较小,具有查普曼层的主要特性。层的临界频率f0(其平方正比于峰值电子密度)与太阳天顶角 x近似地满足由简单层理论所导出的关系式f0=acosbx(兆赫),式中ɑ和b为常数。这个关系式反映了电离层电子密度随时间和地区变化的基本趋势。在较高的F2层,电离输运起着重要作用;在地球磁极,存在着外来带电粒子的轰击,形态更为复杂。

图

图1为电离层电子密度的典型高度分布。D层和F1层的峰形一般并不很凸出。

D层

离地面约50~90公里。白天,峰值密度NmD和相应高度hmD的典型值分别为103厘米-3和85公里左右。无线电波中的短波在该层受到较大的吸收。太阳活动最高年的吸收几乎是最低年的两倍。一年之中,NmD的夏季值大于冬季值,但在中纬地区,冬季有时会出现异常吸收。夜间,电离基本消失。

E层

离地面约90~130公里。白天,峰值密度NmE及其相应高度 hmE的典型值分别为103厘米-3和 115公里。NmE的昼夜、季节和太阳活动周期三种变化,大致符合简单层理论公式,分别于中午、夏季和活动高年达到最大值;这时,公式中常量ɑ≈0.9(180+1.44R)bb≈0.25,R为 12个月内太阳黑子数流动平均值。夜间,NmE下降,hmE上升;NmE≈5×103厘米-3hmE的变化幅度一般不超过20公里。

F层

离地面约130公里以上,可再分为F1和F2层。

(1)F1层(离地面约130~210公里):白天,峰值密度NmF1及其相应高度hmF1的典型值分别为 2×103厘米-3和180公里。F1层峰形夜间消失,中纬度F1层只出现于夏季,在太阳活动高年和电离层暴时,F1层变得明显。NmF1hmF1的变化与E层类似,大致符合简单层的理论公式,这时ɑ≈4.3+0.01Rb≈0.2。

(2)F2层(离地面约210公里以上):反射无线电信号或影响无线电波传播条件的主要区域,其上边界与磁层相接。白天,峰值密度NmF2及其相应高度hmF2的典型值分别为106厘米-3;夜间,NmF2一般仍达5×104厘米-3。在任何季节,NmF2的正午值都与太阳活动性正相关。hmF2与太阳活动性一般也有正相关关系,除赤道地区外,夜间值高于白天值。在F2层,地球磁场大气各风系、扩散和其他动力学因素起着重要的作用,其形态变化不能用查普曼的简单层理论来描述,于是F2层比起 E层和F1层便有种种“异常”。所谓日变化异常是指F2层电子密度的最大值不是出现在正午(通常是在本地时间 13时至15时),同时NmF2还具有半日变化分量,其最大值分别在本地时间上午10~11时和下午22~23时。季节异常是指F2层正午的电子密度在冬季要比夏季高。赤道异常是指F2层电子密度并不在赤道上空最大,它明显地受地磁场控制,其地理变化呈“双峰”现象,在磁纬±20度附近达到最大值。在高纬度地区,可观测到许多与带电粒子沉降有关的异常现象。其中,最为重要的是F层“槽”,这是地球背阳面上从极光圈开始朝向低纬宽约 5~10度的低电子密度的带区。

图

峰上固定高度的电子密度和电离层电子总含量的时间变化,与NmF2有类似之处。图2为电离层各层的峰值密度Nm和相应高度hm 在中纬度地区的平均昼夜变化。

除上述各均匀厚层外,电离层还存在着两种较常见的不均匀结构:Es层即偶发E层(见es层电波传播)和扩展F层(见电离层不均匀体)。

电离层模式

电离层诸参量随高度变化的数学描述。这种变化与地理位置、季节、地方时,以及太阳和地磁活动性有关。复杂的电离层形态给实际应用带来极大困难,因此,人们在大量实测数据的基础上,用较简单的数学模式描述电离层形态和结构,以便在无线电通信和宇宙航行等工程设计中应用。研究最多的是对无线电波传播有直接影响的电子密度模式。

(1)查普曼模式

(2)线性模式

(3)抛物模式

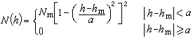
(4)抛物平方模式:

(5)双曲正割平方模式

(6)指数模式

式中N(h)为离地面高度h处的电子密度;h0为起算高度;α为常数;ɑ为层的半厚度。

这些模式只能描述电离层电子密度剖面的某一部分。为了完整地描述剖面,须在不同部分采用不同的数学表达式。

对F层峰值以下的电子密度剖面,可按照不同的实际应用,采用不同的组合模式。国际无线电咨询委员会推荐用于短波场强计算的布雷德利-杜德奈模式,是抛物模式 (F2层)-线性模式(F1层)-抛物模式(E层)的组合模式。模式参数可以从电离层观测站所得到的特性参数推算出来。一般情况下,所得的电子密度分布与实际分布的高度差别小于20公里。其他的模式还有:余弦模式(F2层)-正割模式(E-F层)-抛物模式(E层)的组合模式,可用于精度要求较高的射线追踪计算;抛物模式(F2)层与多项式组合模式,便于从电离层垂测仪的频率-高度图计算F2层的峰值高度、峰处标高和等效峰下平板厚度。

包括F层峰值区域在内的电子密度剖面中,较典型的有本特模式和宾夕法尼亚州 1号电离层模式。本特模式的高度范围约从 150公里到2000公里。峰值高度以下为抛物平方模式,峰值高度以上为抛物模式;更高的高度上为三个相接的指数模式。本特模式忽略剖面(特别是F 部区域)的细节,着眼于精确地表达电离层电子含量。它适用于计算无线电波由于折射所造成的时延和方向的变化。宾夕法尼亚州1号电离层模式(120~1250公里)是在一个经验所得的高度范围内,模拟电离层的物理化学过程,通过调节电离反应速度和垂直电子流计算电子密度。这一模式主要用于研究输运过程和风的衰减等理论问题。

国际无线电科学联合会和美国空间研究委员会根据电离层的实测资料编制成《国际参考电离层》,它是一套专门的计算机程序,输入数据为地理经度和纬度、月份、本地时间、太阳黑子数。输出数据为电离层诸参量的垂直分布。图3为输出剖面示例。

图

由于来自外空,太阳和地球大气本身的各种扰动源的激发,电离层还会产生相应的扰动变化和不规则结构,表现各种不同的形态(见电离层扰动、电离层不均匀体、电离层调变)。

参考书目
  1. 九章等:《高空大气物理学》(上册),科学出版社,北京,1965。
  2. W.H. Rishbeth and O.K. Garriot,Introduction to Ionospheric Physics, Academic Press, New York,London,1969.