[拼音]:lingmindu fenxi
[外文]:sensitivity analysis
研究与分析一个系统(或模型)的状态或输出变化对系统参数或周围条件变化的敏感程度的方法。在最优化方法中经常利用灵敏度分析来研究原始数据不准确或发生变化时最优解的稳定性。通过灵敏度分析还可以决定哪些参数对系统或模型有较大的影响。因此,灵敏度分析几乎在所有的运筹学方法中以及在对各种方案进行评价时都是很重要的。
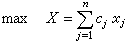
线性规划中灵敏度分析对于线性规划问题:
这里max表示求极大值,s.t.表示受约束于,X是目标函数,xj是决策变量。通常假定aij,bi和cj都是已知常数。但是实际上这些参数往往是一些根据估计或预测得到的数据,因而存在误差。同时,在实际过程中,这些参数还会发生不同程度的变化。例如,在处理产品搭配的线性规划问题中,目标函数中的cj一般同市场条件等因素有关。当市场条件等因素发生变化时,cj也会随之而变化。约束条件中的 aij随工艺条件等因素的变化而改变,bi的值则同企业的能力等因素有关。线性规划中灵敏度分析所要解决的问题是:当这些数据中的一个或几个发生变化时,最优解将会发生怎样的变化。或者说,当这些数据在一个多大的范围内变化时最优解将不发生变化。
投入产出法中灵敏度分析可以用来研究采取某一项重大经济政策后将会对国民经济的各个部门产生怎样的影响。例如,美国政府曾经利用投入产出表研究了提高职工工资10%对国民经济各部门商品价格的影响。研究的结果表明,在职工工资增加10%时,建筑业产品的价格将上涨7%,农产品的价格将上涨1.3%,其余各部门产品价格将上涨1.3~7%不等,生活费用将上升3.8%,职工的实际得益为6.2%。
方案评价中灵敏度分析可以用来确定评价条件发生变化时备选方案的价值是否会发生变化或变化多少。例如,在利用评价表进行评价时,需要确定每一个分目标的权重系数和各分目标的评分数。这中间或多或少地会存在当事人的主观意识,不同的人可能会有截然不同的价值观念。因此就必须考虑当分配的权重系数或评分数在某一个范围内变化时,评价的结果将会产生怎样的变化。
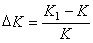
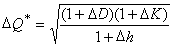
定货批量的灵敏度分析在分析整批间隔进货模型中,经济订货批量Q*可用下式计算:
式中D为单位时间需求量,K为每次订货的固定费用,h为单位时间内每单位物资的保管费。它们一般都是根据统计资料估算的,与实际情况有所出入,需要进行灵敏度分析。用D1,K1,h1和Q壒分别表示实际的需求量、订货量、保管费和调整后的经济订货批量。ΔD,ΔK,Δh和ΔQ*分别代表需求量、订货量、保管费和经济订货批量的相对变化值,即:


通过计算后可得
代入具体的数值后便可用上式说明 ΔD、ΔK和Δh对订货批量的综合影响程度。