基础梁

水利、土建工程中连接上部结构与地基的梁式构件。一般又称弹性地基梁。在水闸、船闸、船坞等结构的底板计算中,通常用图1所示方法截取梁条,以基础梁的计算来代替基础底板的计算。图2为基础梁的计算简图。基础梁除受梁上荷载作用外,有时还要考虑变温影响、边荷载作用等。对于半无限大、有限深地基上的常截面梁,在各种外荷载以及边荷载作用下,梁的内力、位移均已制成表格,以便工程设计中查用。

地基模型

基础梁计算的关键,在于选择合理的地基模型求解地基反力。主要的地基模型如下。

(1)文克勒模型:又称弹簧垫层模型。它假设地基单位面积上所受的压力与地基沉陷成正比。

(2)半无限大弹性体模型:它假设地基是半无限大的理想弹性体。

(3)中厚度地基模型:它假设地基为有限深的弹性层。

(4)成层地基模型:它假设地基为分层的平面或空间弹性体。除①外,其余的模型,又称为连续介质地基模型。此外,有时还采用双垫层弹簧模型、各向异性地基模型等。在一些小型工程设计或初步设计中,有时直接采用地基反力直线分布假设,使反力的求解成为静定问题,计算大为简化。

图 图 基本方程

可分为两类。

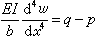
(1)文克勒地基上的梁的基本方程为:

公式 符号

式中ш为梁的挠度;q为作用于梁上的外荷载;EI为梁的弯曲刚度,E为梁的弹性模数,Ibh3/12为梁的截面惯性矩,bh分别为梁的宽度和高度;k为垫层系数。

(2)连续介质地基上的梁的基本方程为:

公式 符号 公式 符号 公式 符号

式中p为地基反力;η为地基沉陷系数;η公式 符号为地基表面P点受单位垂直集中力作用时k点的沉陷函数;l为梁半长;ξ为积分变量。

梁的边界条件一般考虑为自由边界条件。在上述方程及边界条件已知的情况下,通过求解以确定地基反力,进而求出梁的内力等。

求解方法

主要有初参数法、幂级数法、链杆法、差分法以及有限元法等。

参考书目
  1. 潘家铮编著:《弹性地基上的梁和框架》,上海科学技术出版社,上海,1960。