板的计算

一般指在边缘或其中间被支承的薄板在受到横向或纵向的静力或动力荷载作用下的应力、变形、稳定性或动力响应等的计算。板可作为一个构筑物,也可作为某一结构的部件。

所谓薄板,一般指板的厚度h不超过板的中面最小尺寸a公式 符号的1/5,或板的最大挠度w公式 符号不超过板厚的1/5的情况。如果板的厚度很小而1/5w公式 符号/h<5,则称为大挠度板或柔韧板。计算这种板时,须考虑到板的中面内的应力及中面的变形。 对于h/a公式 符号>1/5的板一般作为厚板看待;厚板的计算须应用弹性理论三维问题方法,较为复杂。薄板的计算理论广泛地用于各个工程技术领域,如房屋工程中的楼板、大型屋面板、无梁楼盖、折板、弹性地基板(见地基上梁和板),道路工程中的刚性路面,桥梁工程中的板桥及桥面板,飞机场工程中的刚性跑道水利工程中的闸门板等。

内力分析

板在横向力作用下弯曲时,其工作状态与梁不同。 四边简支等厚度矩形板在集度为q的满布均布荷载作用下,若板的长宽比数b/a=2.0,且材料的泊松比μ=0.3,则发生在板中心处与x轴垂直截面上最大的单位长度弯矩M公式 符号=0.1017qa2,它小于g=b/2 处沿x方向取出的单位宽板条作为独立梁计算时横截面的最大弯矩0.125qa2;发生于板中心处的最大挠度  δ=0.1106qa4/Eh3亦小于上述情况下的最大挠度0.1560qa4/Eh3E为弹性模量)。由于板的挠曲面为一空间曲面(图1), 其倾角媉w/媉x和媉w/媉y也分别沿g和x方向变化,从而导致平行于g轴的线段MM1,和平行于x轴的线段MM2分别发生扭转,因此板的x截面上的内力,除剪力Qx、弯矩Mx外,尚有扭矩Mxy(图2),y截面上亦有扭矩Myx

图 图

弹性薄板计算理论一般采用基尔霍夫假设:薄板在发生弯曲变形之后,原垂直于中面的法线仍垂直于中面且长度不变;垂直于中面的应力分量很小,可以略去;薄板中面没有伸缩及平行于中面的剪切变形。

基本方程

根据基尔霍夫假设可以推导出薄板在荷载作用下,板中任意点沿坐标轴xyz方向的位移为

公式 符号(1)

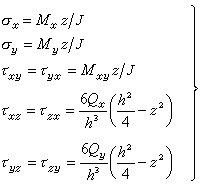
薄板中任意点处x截面和y截面上单位长度范围内的内力都是挠度w(xy)的函数。薄板中应力σ及剪应力τ的计算式为

公式 符号(2)

式中J为板的单位宽度的截面的惯性矩,Jh3/12。

根据薄板中任意一个边长为dx、dg厚度为h 的单元的静力平衡条件,可以推导出薄板弯曲的控制微分方程式为

D22w(xy)=q(xy)  (3)

式中D为板的抗弯刚度;公式 符号q(xy)为作用于板上的横向分布外力的集度。

薄板的常用边界条件,以x=常数边为例,有

简支边 w=0, Mx=0;

固定边 w=0, 公式 符号

自由边 Mx=0, Rx=0。

薄板的所有上列基本方程可通过坐标变换后用柱坐标表示,这对计算圆板较为方便。

解算方法

求解薄板的控制微分方程式 (3)的方法很多,可分为解析法、近似法及数值法等。

解析法

一般系将位移函数 w(xy)及荷载函数q(xy)展成的傅里叶级数代入(3)式求解,若矩形板是四边简支的,则可将wq展开成为双重傅里叶级数。

如果矩形板在x=0及xa的两个对边处简支,则可先将ш展成单傅里叶级数。

近似法

一般指能量法,常常应用里兹法或伽辽金法进行计算。

(1)里兹法。薄板的总势能是板的弯曲变形势能与外力势能之和

公式 符号    (4)

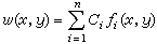
式中Sm表示板中面面积范围。假设一个挠度函数

公式 符号        (5)

式中系数Ci待求,fi(xy)至少须满足薄板几何边界条件,以(5)代入(4)式,应用媉П/媉Сi(i=1,2,…,n)的条件便可求出П为最小时的系数Сi,此时挠度函数w最接近薄板真实的挠曲面形状。

(2)伽辽金法。根据最小势能原理,如果薄板的挠度函数假设为

公式 符号        (6)

满足板的所有边界条件则有

公式 符号      (7)

求出变分公式 符号代入(7)式可得

公式 符号    (8)

于是便有n个条件足以求出Сi(i=1,2,…,n),亦即求得w(xy)。

数值解法

形状及荷载复杂的薄板宜用数值解法,如差分法及有限元法等。

(1)差分法。先在板上划分差分网格(图3),在直角坐标系中差分网格线就是平行x轴及g轴的坐标线,纵线相距Δx,横线相距Δg,纵横网格线的交点称为网格点,在板内部的网格点称内点,边界的网格点称边界点,边界之外的网格点称外点。外点是由于计算的需要而设立的。内点的控制微分方程、边界点的边界条件和内力都用差分方程表示。

图

有限差分法中所用的网格可以是矩形,也可以是平行四边形(斜坐标)、扇形(极坐标)或三角形的(三角坐标)。有限差分法引起的误差是截断性质的误差。差分方程中差分阶数愈高,误差愈大。一般差分不能超过四阶。

(2)有限元法。解算薄板弯曲问题的有限元法有位移法、混合法等。其基本原理见有限元法。

于有限元位移法中,将板离散成为在角点处设置节点的三角形单元分析法已被否定,因为它导致一定方向单元的奇异性。将板离散成为矩形单元在四角处设置节点的办法虽有缺点尚属可用,但不适用于非矩形板。有限元位移分析薄板的单元形式发展较多,关键在于单元位移模式的完备性、收敛性、双跨单元的变形协调性,SAPV程序中的单元符合上述性质,但计算工作量较多。

有限元混合法将板离散成为三角形单元,于三个角点处设置位移节点,并于每边的中点处设置边弯矩节点;这一方法的计算效果较好。

板的计算理论现正向着不采用基尔霍夫假设而考虑横向剪切影响的方向发展,并向着热弹、热塑、粘弹、粘塑、各向异性、大变形、动力及稳定性各方面发展。