声光效应

当超声波传过介质时,在其内产生周期性弹性形变,从而使介质的折射率产生周期性变化,相当于一个移动的相位光栅,称为声光效应。若同时有光传过介质,光将被相位光栅所衍射,称为声光衍射。利用声光衍射效应制成的器件,称为声光器件。声光器件能快速有效地控制激光束的强度、方向和频率,还可把电信号实时转换为光信号。此外,声光衍射还是探测材料声学性质的主要手段。

1922年,L.N.布里渊在理论上预言了声光衍射;1932年P.J.W.德拜和F.W.席尔斯以及R.卢卡斯和P.比夸特分别观察到了声光衍射现象。从1966年到1976年期间,声光衍射理论、新声光材料及高性能声光器件的设计和制造工艺都得到迅速发展。1970年,实现了声表面波对导光波的声光衍射,并研制成功表面(或薄膜)声光器件。1976年后,随着声光技术的发展,声光信号处理已成为光信号处理的一个分支。

基本理论

弹性形变所引起的介质折射率变化可以写成

公式 符号

式中n为介质的折射率,S为介质形变的程度,p为声光(或弹光)系数(由材料性质决定)。声光衍射的特性与声光互作用长度L的大小有关(图1)。声光衍射特征长度的定义为

图 公式 符号

式中 λλ0/n 为介质中光波波长(λ0为真空中波长),公式 符号为超声波波长(v为声速,f为频率)。由上式可见,在高频工作时,L0很小。

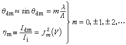
喇曼-奈斯衍射

要求满足条件公式 符号,相当于平面光栅。此种衍射的特点是:

(1)对入射光方向无严格要求,一般取垂直入射;

(2)衍射光有许多级(图1a),第m级衍射光的方向和衍射效率为

公式 符号

式中Ii为入射光光强;V呏(2π/λ0)墹nL,称为声光相移;Jm是第m贝塞尔函数。当V=1.84弧度时,J1(V)达到最大,并有η公式 符号=0.339=33.9%,高级衍射的效率更低。

布喇格衍射

要求满足条件L≥2L0,相当于体光栅。此种衍射的特点是:

(1)只有当入射光方向满足一定条件时,才有显著的声光衍射;

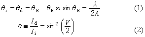
(2)衍射光或者只有+1级或者只有-1级(图1b),并分别称为±1级布喇格衍射。入射光和衍射光方向以及衍射效率为

公式 符号

式中θiθd分别为入射光和衍射光与超声波波面的夹角,θB为布喇格角。布喇格衍射只出现一束衍射光,且η可高达100%(V=π时),故在实用上一般都采布喇格衍射。

声光器件

在实际器件中,超声波是由压电换能器激发,声光互作用介质和压电换能器相结合即为声光器件(图2)。声光器件分为两类。

(1)体声光器件:声波和光波均在介质体内传播,声光互作用介质和压电换能器常用铟、锡或铝等软金属材料,通过真空冷压焊工艺粘合在一起。

(2)表面(或薄膜)声光器件:声波为沿介质表面传播的声表面波,光波则为在平面光波导中传播的导光波。这时,声光介质和压电材料融为一体,衬底材料必须既具有声光效应又具有压电效应,常用的材料有Y切铌酸锂,而叉指换能器只需在材料表面蒸镀叉指状电极。

图

光调制

根据声光调制原理制成的器件。声致相移V和超声功率Pa之间的关系为

公式 符号

式中M2n6p2/ρV3(ρ为介质的密度)是由声光材料性质决定的物理量,称为声光优值。由式(2)和(3)可见,改变Pa(实际是改变加在压电换能器上的电信号功率)即可改变ηId的值。当V较小时,sin(V/2)≈V/2,易得η≈(V/2)2Pa,即可实现线性调制。

光偏转器

根据声光偏转原理制成的器件。由图1b可见,偏转角(即衍射光与入射光之间的夹角)α=θi+θd,把式(1)代入,即得

公式 符号

改变加在压电换能器上的电信号的频率f,即可改变衍射光的方向。

声光移频器

由于超声波是向前传播的,声光衍射时光将发生多普勒频移。对于 ±1级布喇格衍射,ωd=ωi±Ω,式中ωiωdΩ分别为入射光、衍射光和超声波的圆频率。改变电信号的频率f=Ω/2π,即可改变衍射光的频率。

声光可调滤光器

例如入射光具有复杂的光谱成分(即包括许多不同波长的光),式(1)可改写成θi=λf/2V。当θi一定时,λf为常数。相对地改变电信号频率f,波长不同的光将相应地分别被声光衍射取出。

参考书目
  1. 徐介平:《声光器件的原理、设计和应用》,科学出版社,北京,1982。
  2. R.W.Damon,W.T.Maloney and D.H.McMahon,In-teraction of Light with Ultrasound: Phenomena and Applications,Physical Acoustics,Vol.7,AcademicPress, NewYork,London,1970.