[拼音]:daqi wuran moshi
[外文]:atmospheric pollution model
污染物在大气中迁移和扩散规律的数学描述,是环境数学模式的一种。利用这种模式可以预报在给定的污染源强度(单位时间排放量)和气象条件下某种污染物的时间和空间分布。
进行大气污染调查一般只能知道污染物在大气中分布的当前状况和历史变化情况,很难知道不同类型污染源和新污染源在大气污染中所起的作用。大气污染的数学模式不仅能提供这方面的信息,而且还能预报区域性或全球性的大气质量。许多例子表明,大气污染数学模式可以比监测网更迅速、更经济地提供污染物分布的近似情况。这种模式可用物质连续方程的数值求解模拟污染物的扩散、迁移和反应过程。
大气污染模式有两种常用的积分求解方法:运动气室法(拉格朗日算子)和固定坐标法(欧拉算子)。运动气室可以看作是通过瞬时风矢量移动的垂直空气柱,这样在所研究的范围内可以划出一个特定的表面轨迹。由于空气有固定的质量,可以忽略水平扩散,在化学动力学上把这种气柱看作一个运动的烟雾室。一般来说,运动气室法避免了关于具有三维空间坐标和时间的支配方程的冗长的积分运算,还可以通过追踪从污染源出来的某一气包来核实污染物的分布。固定坐标模式一般涉及具有三维欧拉算子的耦合物类浓度方程的积分运算。它们通常受大型计算机存贮要求和大量计算时间的限制。但是我们可以获得每一个网络点和每一个时间的解,而不是只有沿着特定风轨迹的解。解这种支配方程的技术已经成熟。原则上,固定坐标模式可以考虑地面吸收,污染源的任意分布,逆温层的上升和下降,以及光化学烟雾过程任意描述的影响。
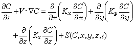
大多数大气污染问题的基本扩散数学模式,可以写成如下的形式:
(1)
式中C为污染物的浓度;V为风速矢量;Kx、Ky和Kz分别为在x、y和z方向上污染物扩散度的分量;S为污染物的来源和丢失是浓度坐标和时间的函数;墷为拉普拉斯算符,即:
(2)
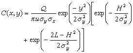
使用数值解(有限差分法)和解析解技术可以得到方程(1)的解。如果污染物是连续排放的,其近似的稳定态解是:
(3)
式中C(x,y)为地面上某一点污染物的浓度;Q为污染物单位时间排放量;u为在高度H的平均风速;σy为侧风方向上的标准离差,是x的函数;σz为垂直卷流标准离差,是x的函数;H为污染源的有效高度;x是顺风向坐标;y为侧风向坐标;z为垂直于风向坐标;L为对流层的高度(此方程对于H >L的情形是无效的)。
这里假定在地面上没有污染物的垂直通量,在对流层及其上方,垂直通量也为零。同时还假定没有污染物的丢失。例如,在地面由于吸收或化学转化所产生的效应可以近似地通过将方程(3)乘以exp(-t/τ)来表示,式中t为污染物在空气中传播的时间;τ为污染物的寿命。根据所采用的σy和σz值,方程(3)对于平均时间在3分钟到1小时范围内通常是可以应用的。
家庭、商业和比较小的工业污染源,可以用一个简单的模式来计算它们在大气污染中所起的平均贡献,这里假定污染物在所考虑的范围内是均匀分布的,其方程式是:
(4)
式中Q为单位时间污染物总排放量;u为平均风速;α为所考虑区域范围的底边(假定是正方形)长度;L*=σz(=α/2)为高度。
对于大工业污染源来说,是不能用公式(4)来计算的。这是因为大工厂的烟囱都比较高,具有较高的有效排放高度。在这种情况下,可以用如下的公式来计算它们对地面的平均贡献。
(5)
式中x0为从污染物排放源到所调查区域边界的距离;其他各项释义同前。
大气污染模式的研究已经给出关于发生在大气中的污染物的物理和化学转化过程的轮廓。今后的主要任务,是对污染物在大气中的转化过程以及在整个地球上空范围内的迁移过程作出定量的描述。