节点电压法

以节点电压为求解对象的电路计算方法。节点电压是在为电路任选一个节点作为参考点(此点通常编号为“0”),并令其电位为零后,其余节点对该参考点的电位。一个支路数为b、节点数为n的电路,其节点电压数为n-1,所以用节点电压法计算时需要列出 (n-1)个以节点电压为未知量的独立方程。

图

电流的方向,对节点“1”和“2”写出KCL方程;参照各支路电压和节点电压的方向,使用KVL写出支路电压通过节点电压表达的方程(又称KVL方程);参照支路电压、电流、电源的方向以及支路的连接方式,使用KVL(或KCL)写出支路方程。这样写出的3组方程见表。

图

将KVL方程代入支路方程,消去支路电压,再将所得新的支路方程,即支路电流与节点电压的关系式代入KCL方程,消去支路电流后可得方程组

此方程组的2个方程就是用节点电压法计算图1所示电路时需要列出的方程。这种方程通常称为电路的节点方程。显然,由节点方程可得出电路的2个节点电压。 将节点电压代入KVL方程可求出电路的6个支路电压,再将支路电压代入支路方程(将节点电压代入新的支路方程亦可),又能求出电路的6个支路电流。

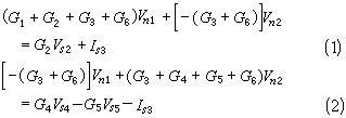
对照图1可以发现,式(1)中Vn1的系数 (G1+G2+G3+G6)是与节点“1”相连接的支路具有的电导之和,Vn2的系数[-(G3+G6)]是连接在节点“1”和节点“2”之间的支路具有的电导之和取负号;式(2)中的两个系数类似。这4个系数可分别简记为G11G12公式 符号公式 符号。其中G11=G1+G2+G3+G6,称为节点“1”的自电导;G12=公式 符号=-(G3+G6),称为节点“1”与节点“2”间的互电导;公式 符号=G3+G4+G5+G6,称为节点“2”的自电导。还可发现,两式右端项中的Is3是电流源的电流,因方向是指向节点“1”而取正号,背向节点“2”而取负号;另外几项与电压源有关的项是含电压源的串联支路变换成含电流源的并联支路后,支路中电流源的电流,而且这些电流取正号或负号亦视方向是指向还是背向节点而定。同样是指向者取正,背向者取负。例如式(1)中的公式 符号就是图1中支路2变换成如图2所示支路中电流源的电流公式 符号,余类推。

图

式(1)和式(2)可改写成

公式 符号  (3)

式中的公式 符号公式 符号分别是进入节点“1”和“2”的电流源电流之总和。

式(3)是3节点电路的通用节点方程,并可由它推出具有n个节点电路的通用节点方程

式中左端项前的诸系数和右端项的含义以及正、负号的确定同前。

式(4)可简写成

公式 符号     (5)

式中媠n是以自电导和互电导为元素的(n-1)×(n-1)矩阵,尓n是以节点电压为分量的n-1维矢量, Is是以式(4)中的右端项为分量的n-1维矢量。

对电路进行正弦稳态分析时,用相量法和节点电压法写出的节点方程为

对电路进行暂态分析时,用普拉斯变换和节点电压法写出的节点方程为

公式,无法用来在KCL方程中消去该支路的电流,所以事先应利用电源转移的办法(见电路变换)将此电压源移走,然后再用此法计算。另外,电路若含有仅由压控电压源或流控电压源或流控非线性元件构成的支路时,此法由于同上的原因而不能用。为了解决上述几种支路给本法造成的困难,人们又创立了目前广泛应用的修改的节点法。这个方法是将那些难以处理(对节点电压法而言)的支路的电流也作为未知量引入节点方程内,同时再把它们的支路方程作为新方程引入节点方程组内形成独立方程数与未知量数相等的新方程组。求解这一新方程组仍可求得全部节点电压。

应用

节点电压法比支路电流法优越在于它需要直接求解的方程数少于后者。建立节点法所用方程的方法非常简便。现今的电子计算机辅助电路分析程序,多是采用节点电压法编制的。