[拼音]:hongwai toushe cailiao
[外文]:infrared transmission material
能透过红外辐射的材料,用于制造红外仪器的部件,如红外探测器的窗口、红外仪器光学系统的透镜和棱镜等。对这些材料的要求是:
(1)能透过所需波段的红外辐射;
(2)有尽可能高的透射比;
(3)机械强度高;
(4)化学稳定性好。
若红外透射材料是平板型,当红外辐射投射到它的表面上时,部分被反射,其余进入体内。进入体内的有一部分被吸收,剩余部分透射过去。若吸收比为α,反射比为ρ,透射比为τ(都是对入射辐射功率之比而言),则α+ρ+τ=1。红外透射材料要求有尽可能大的τ,α、ρ应尽可能小。后两者皆取决于物质的微观结构。
α 决定于物质内部的辐射吸收过程,如晶格振动吸收所引起的基本吸收,分子晶体中的分子振动和转动所引起的特征吸收,以及半导体中电子从价带跃迁到导带的本征吸收。这些都是材料所固有的辐射吸收过程。此外,尚有杂质吸收、自由载流子吸收,多晶体中晶粒间界的散射所引起的辐射衰减也相当于吸收。固体材料中任一个固有的辐射吸收过程,都会在某一波段引起相当大的吸收。因而τ必然很小。因此,红外透射材料的透射波段只能选择在没有这类固有吸收过程的波段内,而且其他吸收也必须降低到可以忽略的程度,即α≈0。这样,就只有反射的损失。
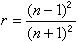
反射有漫反射和镜面反射两种。漫反射与表面光洁度有关,越光洁漫反射率就越低。必须设法将这部分反射损失降低到可忽略不计的程度。镜面反射与材料的折射率有关。在没有吸收的波段,对于垂直投射的辐射,其反射率为
式中 n为材料的折射率。反射率是指一个面上反射辐射功率与入射辐射功率之比。通常在测量时,把红外透射材料做成有两个平行表面的薄板。当进入材料的辐射碰到第二个表面时,也有部分被反射,回到第一个表面,而且又有部分辐射透出表面,与第一次反射辐射叠加。因而实际测量的反射比是多次反射的叠加,其结果为
折射率越大,反射率和反射比就越大。有些半导体材料的折射率大致为4。因此,在透明区反射损失约为 53%。这一反射损失,可用增透膜的办法予以减小。
材料的机械强度和化学稳定性也是由材料的本质决定的。因此,有用的红外透射材料是在研究大量固体材料的基础上选择出来的。图中为常用的几种红外透射材料的透射光谱。