[拼音]:jueyuan naire dengji he relaohua shiyan
[外文]:temperature classification and thermal ageing test of electrical insulation
耐热等级表示绝缘的最高允许工作温度。绝缘材料在此温度下工作,能在预定使用期内保持其性能不超出允许的范围。
绝缘耐热等级绝缘材料的耐热等级和对应的工作温度如表。
耐热等级一般根据常规热老化试验确定。常规热老化试验方法是通过提高温度使绝缘加速老化,通常在三个或四个温度下求取绝缘的寿命,并作出热寿命曲线(图1)。
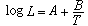
根据经验,结合理论指导,可以从阿伦尼乌斯方程导出绝缘寿命的对数与其热力学温度的倒数呈线性关系
式中L为绝缘寿命(小时),T为热力学温度(K),A、B为常数。众热寿命线外推到工作温度可求出绝缘的寿命,也可以外推到规定的寿命值以求出耐热等级。
热老化试验绝缘的热老化试验有以下两种。
(1)绝缘结构的热老化试验:用模拟样品(如模型线圈)或实样(如小电机)作试样。除提高运行温度外,常增加热冲击、机械振动、受潮等组成老化周期,如以升温→热暴露→降温→机械振动→受潮试验为一个循环。为使热以外的因素保持恒定,不同老化温度下的循环数应相等或接近相等。一般根据材料的主要用途采用试样在试验中某一关键功能参数(例如绝缘被击穿)来标志寿终。
(2)绝缘材料的热老化试验:用单一材料(如薄膜)或材料的简单组合(如漆包线)作试样。在恒温下老化,选用绝缘材料在使用中所承担的主要功能参数作为寿终的判据。当所选评定寿命的参数下降到规定值时,试验所经历的时间即为该温度下的寿命。材料的寿命试验一般只能求取相对寿命。只有用已知耐热等级的材料与之同时进行试验并进行对比才能求得其耐热等级。例如,用耐热等级为B级(130℃)的材料K与被测材料M同时进行热老化试验,得出热寿命图(图1)。图中L为材料的工作温度下的寿命。由图知,材料M的耐热等级为180℃,即H级。
各种绝缘结构与绝缘材料的热老化试验的试样、试验条件和评定寿命的参数等均按相关标准规定。
长期耐热性参数由于电工设备中不同部位的绝缘并不都在最高设计温度下运行,所以应根据各部位的实际工作温度选择相应耐热等级的绝缘材料组成绝缘系统,以提高经济合理性。为区分绝缘材料和绝缘结构的长期耐热性,又提出了以下几种评定材料长期耐热性的参数。
(1)温度指数(TI):这是指热寿命图上对应于一定寿命(通常取20000小时)的温度值(图2)。
(2)相对温度指数(RTI):当被测材料与温度指数已知的参考材料承受相同的老化程序和诊断手段的比较试验时,从已知TI所对应的时间获得(图1)。K是参考材料,其TI为130℃,则被测材料M的相对温度指数为180℃。
(3)半寿命温差(HIC):在热寿命图上对应于TI(或RTI)的寿命与半寿命的温度之差
HIC=TI-(TI)┡
式中(TI)┡为对应于半寿命的温度。HIC(图 2)与寿命线的斜率有关,这一斜率与材料的活化能有关。
进展以上诸参数也都通过常规热老化试验确定。由于常规试验费时太长(约1年),又研究、开发了一些新的加速热老化试验方法,其中较为成熟的是热重法,其依据是材料热老化过程中因化学或物理变化会引起重量或热量变化。热重法中的点斜法系利用热分析技术求得热老化反应的活化能,由此可求得寿命线的斜率,同时选一高温点做一功能性寿命,即可做出热寿命图;或配合一常规试验可求出材料的温度指数。此法所需试验时间短(约需一个月),但可靠性不如常规法。
此外,绝缘的热行为(包括机械的、电气的和化学的)在低温或超温下常有很大变化。随着超导技术的发展,以超导工作温度为参考点的低温电工绝缘的热性能试验也越来越受到重视。