[拼音]:zhuang de zhouxiang chengzaili
[外文]:bearing capacity of axially loaded pile
单桩在产生一定的桩顶变形条件下所能支承的最大轴向静荷载。在保证桩身结构强度的前提下,桩的轴向承载力主要取决于桩周土的性状。
由土的性状确定的桩的承载力,是通过桩侧土阻力及桩尖地基土承载力的发挥而获得(图1a)。荷载首先通过桩侧阻力向土中传递。桩侧阻力随桩身与土间的相对剪切位移增大而逐渐发挥,其大小与桩侧的有效法向应力有关。充分发挥土的侧摩阻力所需的桩土相对位移量不大,一般为6~10毫米。发挥桩尖地基承载力需要较大的桩尖位移,此种位移与持力层性质、桩尖标高处的覆盖压力、桩的设置方法及桩径有关,灌注桩中可高达桩径的30%,打入桩约为桩径的10%。
工程设计中常按承载力的组成性质,将桩划分为以侧摩阻力为主的摩擦桩及以端承力为主的端承桩(图1a、b)。
目前确定单桩轴向承载力的方法,有静荷载试验、理论计算、经验公式和动力公式等方法。
静荷载试验法工程中直接评价单桩轴向承载力的方法。试验时在桩顶分级加载,同时测定桩顶位移。每级荷载维持到满足规定的相对稳定标准。然后加次级荷载,如此重复直到破坏或达到规定的桩顶总位移量为止,接着分级卸载并以同样方法观测桩顶回弹量。
桩顶荷载р与实测相对稳定位移S关系曲线常用来评定单桩承载特性。р-S曲线随地层变化而有不同形状。常见的р-S曲线有两种情况:第一种情况是曲线上出现明显的陡降段,即荷载不再增加而沉降不断增加(图2)曲线1;出现此现象的对应荷载可作为破坏荷载。第二种情况是曲线上无明显的陡降段(图2)曲线,这时只能用经验方法确定极限承载力,如按给定的桩顶下沉量或卸载后的桩顶残留下沉量Sr确定破坏荷载。工程设计中常取破坏荷载的前一级荷载作为桩的极限承载力。极限承载力除以适当的安全系数 K即为工程中在该土层条件下采用的单桩容许承载力[рa]。单桩的静荷载试验应采用和工程桩相同尺寸、材料、土层条件以及设置方法的桩,在不做破坏性试验时可利用工程桩进行。试验应在设桩过程对土的扰动影响基本消除后开始。
试验加载相对于构筑物荷载而言是短期的,且无群桩中邻桩荷载的影响,不能直接得出桩基将会出现的下沉量概念,试桩下沉量只是衡量桩周土承载力发挥程度以及积累工程经验的工具。因此,近年有采用等速率贯入法等快速方法进行试桩的趋向。
理论计算法静荷载试验常受具体条件限制而无法进行,可按土的特性指标按(1)式估算桩的轴向承载力。
рj=рs+рb (1)
式中рj为桩的极限承载力;рs为桩侧阻力;рb为桩底承载力。
一般情况下
рs=ULk勎vtgδ′ (2)
在饱和粘性土中
рs=ULαCu (3)
式中U、L为桩周长及在土层中的长度;勎v为有效覆盖压力;k为侧压力系数;α 为粘着系数,随土质及荷载性质而定;Cu为土的无排水抗剪强度;δ′为土的有效强度参数。
桩尖下地基土受载后形成一个高密度的锥形土楔,将土推向四周并在近旁土体内形成塑性区。桩尖下地基土的极限承载力可由塑性理论或非线性弹塑性理论估算:
рb=(KcCNc+Kq勎LNq)Ab (4)
式中Kc、Kq为桩底截面的形状系数;Ab为桩尖处截面积;勎L为桩尖标高处的竖向有效应力;Nc和Nq为承载力系数,按不同假定计算所得桩尖地的Nc、Nq值有显著的差别。
70年代提出的计算粘土中打入桩轴向承载力的有效应力理论,全面地考虑了从桩的打入、桩周土的重新固结直到桩支承荷载整个过程的应力变化。但是,打入桩的排土及重塑作用,上层土随桩身带入的影响,打桩振动、射水沉桩以及钻孔桩对桩周土的扰动等因素难以准确测定,所以在工程中应用理论公式时,尚需凭经验予以修正。
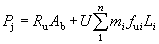
经验公式法将实测或经验划分的桩侧阻力与桩底承载力,分别按土类及其他因素进行统计可得单位面积上桩侧的极限摩擦力 fu及桩尖极限承载力 Ru值的范围,故单桩的容许承载力рj为
(5)
式中Li为桩身在i层土中的长度;mi为不同施工方法对i层土的承载力的影响系数;fui为i层土的极限摩擦力;Ab为桩尖处截面积;U为桩周长。
式(5)中的fu及Ru值还可通过静力触探试验的探头侧壁阻力与探头端阻力(或比贯入阻力)求得;也可与动力触探或标准贯入试验击数联系起来。触探资料是在土层内连续测定的,对土性有较准确的反应,在适当考虑桩及探头间的尺寸效应后预测桩的承载力,一般能符合工程要求。困难是现有触探设备能量常不足以达到长桩所要求的深度。
动力公式法在理想的弹性体碰撞理论基础上,以一次锤击提供的能量与在桩身打入的距离(称为贯入度)上克服桩周土阻力所作的功相等为条件,求得桩的极限承载力。它粗略假定桩周土阻力是在撞击瞬时全部同时出现的,但忽略了打桩动阻力与静载下桩的承载力间的差别。常用的美国《工程新闻》公式是1888年提出的这类早期公式之一,后经不断修改,迄今公式已有数百个。动力公式法的特点是测定方法简单,可在每根打入桩上应用,以砂土中较为适用,尤其在贯入度与承载力的关系为已知时(如通过试桩的静荷载试验确定),仍不失为现场控制打桩的有效手段。
单桩轴向承载力取决于许多因素,一般包括:容许沉降值、荷载类型、土质条件、设置方法、桩材等。结合现场地质条件和设桩能力,正确选定桩尖持力层及进入深度是提高轴向承载力的关键。也有在桩尖或桩身局部用扩大断面的办法来提高桩的承载力。
- 参考书目
- 华南工学院等编:《地基及基础》,中国建筑工业出版社,北京,1981。