[拼音]:jiegou weiyi
[外文]:displacement of structure
结构上点的位置的移动(线位移)或截面的转动(角位移)。主要由荷载作用、温度变化、支座沉陷、结构构件尺寸的误差以及结构材料性质随时间的变化等原因引起。结构位移计算主要应用于结构刚度分析。同时也是超静定结构(见杆系结构的静力分析)分析的重要基础。
杆系结构位移杆系结构位移的普遍计算公式可以从变形体虚功原理导出(见能量原理),为此虚设一个(或一对) 与所要计算的位移(或相对位移)相应的单位力,将结构上施加虚拟单位力的状态作为力的状态,而将待求的结构位移状态作为虚位移状态,从而按虚功原理建立虚功方程,即可得出位移计算的普遍公式:
(1)
式中墹为待求的位移;嚔i、嚻i和坴i为虚拟单位力状态的结构内力,即弯矩、轴力和剪力;垪i为同一状态下的支座反力;d墹嗞、d墹λ和d墹Υ为待求位移状态中杆件微段ds两端截面的相对位移,即相对转角、相对轴向位移和相对剪切位移;c为同一状态下的支座位移。等号右边前三项中的积分沿各杆段l进行,然后对所有的杆段求和。
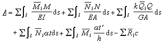
平面直杆位移由线性变形体组成的平面直杆系在荷载作用、温度变化和支座沉陷影响下的位移计算公式:
(2)
式中E、G 和α为材料的弹性模量、剪切弹性模量和线膨胀系数;k、I、A和h为横截面的剪力修正系数、惯性矩、面积和高度;M、N、Q为待求位移状态下的弯矩、轴力和剪力;t为杆轴上的温度变化;t′为横截面上下缘的温差。
如果结构是静定的,温度变化和支座沉陷都不会使结构产生内力。如果结构是超静定的,(2)式右边的前三项是由荷载引起的,第四、五项是由温度引起的,最后一项是由支座沉陷引起的。欲求超静定结构位移,必须先求出待求位移状态下的超静定结构内力;而根据虚功原理,虚拟的单位力可以加在由原来的超静定结构经解除某些约束后形成的任意静定结构上或任意一个静定的部分上,以使计算工作简化。
平面曲杆位移曲杆位移与直杆的不同之处在于:曲杆微段ds在受轴力作用时两端截面也会产生相对转角,在受力矩作用时也会产生相对轴向位移,并且中性轴不再与形心轴重合。所以,严格地说,平面曲杆的位移公式应在(2)式基础上作相应的补充和修改;但对于小曲率情况,工程上常忽略这种曲率影响。
空间杆系结构位移空间杆系结构有六个内力分量和六个位移分量,因此在其位移公式中应由弯、扭、剪、拉、压等项来代替(1)式中等号右边的前三项。