[拼音]:kongqisheng gesheng
[外文]:insulation against air-borne sound
在声源与接受者之间设置构件,阻挡声能在空气中传播,是建筑环境噪声控制的一项措施。构件的设置部位,可以在声源附近、接受者周围或在噪声传播的途径上。如在工矿企业中常用隔声罩将高噪声源封闭起来,以防止噪声扩散危害操作工人的健康和污染环境。在民用建筑中要求围护结构如墙、楼板、门窗等具有一定的隔声能力,目的是保证室内环境的安静。一些工业发达的国家常在高速公路的两侧筑起隔声屏障,以减少交通噪声对环境的污染。
构件的隔声能力
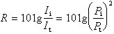
用隔声量R表示,其定义为:

式中Ii、Pi分别为投射于构件上的声强与声压;It、Pt分别为透过构件后的声强与声压;声压的标准参考值P0=20微帕;
各相应于构件前后的声压级的分贝数。因此,只要测定构件前后声压级的分贝数的差值,便能得出构件的隔声量,一般构件的隔声能力为20~50分贝。这里的构件隔声量,均指构件本身的隔声量。但在实际情况下,两个房间之间的噪声降低量,不仅与隔墙的隔声量有关,而且与隔墙的透声面积大小以及接收房间内部的吸声量大小有关;因此常用下式表示噪声降低量:
式中NR为隔墙现场的实际隔声量,是两个房间内声压级平均值的差值(岧p1-岧p2), 等于隔墙隔声量R加上第二项修正项;A为接收房间内吸声量;Sw为隔墙面积。
构件的分类
按构造可以分为单层构件、双层构件、轻质复合构件、门窗构件和组合构件等。
单层构件单层密实的匀质构件,如各种板材与墙体。其隔声能力主要由单位面积的质量(即面密度)决定。越重的墙体隔声越好,同时隔声量又随频率而增加,构件在高频段的隔声能力远较低频段好,这是构件最基本的隔声特性,称为隔声质量定律。但隔声还受构件的劲度
,阻尼和边界条件等因素的影响。在实际情况下,单层构件的隔声量随面密度的增加率和每倍频程的上升斜率而定,约4~5分贝左右。图 1为单层、匀质构件的隔声特性,共分三个区域:
(1)区域Ⅰ,在相当低的频率范围内,隔声主要由劲度控制。从劲度控制到质量控制之间有一个共振区,是由板简正振动方式的共振引起隔声量的起伏。
(2)区域Ⅱ,在日常的声频范围内,隔声由质量定律控制,隔声量按接近每倍频程6分贝的斜率上升。
(3)区域Ⅲ,在较高的频率范围内,为质量定律的延伸。但在临界频率处,将出现吻合效应的隔声低谷。
吻合效应的物理意义:如图2所示,当板上的自由弯曲波波长 λB 与投射板上的声波波长 λ相吻合时,即
,声波到达板面上的每一点的激发力恰与构件自由弯曲振动相一致,板的振幅不断增大,声能大量透过构件,隔声量急骤下降形成低谷。吻合效应的最低频率称为临界频率fc,它与构件厚度、材料的密度和劲度有关,计算公式为:

式中c为声速;m为板的面密度;B为板的劲度。吻合效应对构件的隔声性能有极大的影响,应设法调整板的劲度与面密度,避免临界频率出现在对人有明显影响的100~2500赫的声频范围内。在图1中还反映出材料的阻尼能有效地控制板的弯曲振动。这种现象在共振频率和临界频率附近特别明显。
双层构件在双层墙板之间有一空气层,它起着弹性层的作用,因此双层墙既保留了两层墙板各自的隔声特性,又由于空气层的作用而产生附加隔声量,隔声曲线有一个比每倍频程 6分贝更大的斜率。双层构件的隔声性能要比单层构件优越,其隔声量一般为30~60分贝,甚至达到70分贝。因此广播电台、电影录音棚和隔声要求高的围护结构,常采用双层墙来隔离外部的噪声。附加隔声量随空气层的厚度增加而增加;厚度大于5厘米时才有较显著的隔声效果;但大于10厘米后,增加的趋势又逐渐减缓。设计双层构件时应注意:
(1)避免使两层墙板与空气层的共振频率出现在人的听觉敏感的低频范围内。
(2)避免每层墙板在人的听觉敏感的声频范围内出现临界频率,特别是两层墙板的临界频率不应在同一位置上,以避免吻合效应叠加,产生深陷的隔声低谷。
(3)双层结构之间,应避免刚性连接,以免空气层的作用遭到破坏。
多层结构是双层结构的进一步发展,使多层墙板之间有较多的隔离空气层,可以获得更高的隔声量。其隔声机理与双层结构基本相同。
轻质复合构件按照双层或多层构件的机理,采用轻质薄板的面层,并在空气层中填放轻质柔软的多孔吸声材料,消除空气层中的驻波共振以及吸收在双层墙板中反复传播的声能;或在面层墙板上加阻尼层或约束阻尼层,以提高轻质墙板的隔声能力。各种构造形式的轻质复合墙板,一般能达到较高的隔声效果,重量可减轻到重墙的十分之一或更小。因此,这种构件在制造各种交通工具的壳体以及在建筑噪声控制中得到广泛的应用。
门窗构件要求有较轻便而隔声良好的门扇和窗扇,门缝和窗缝应严密。由于孔洞缝隙漏声对隔声影响极大,隔声门窗的设计与施工比其他构件困难,常是隔声围护结构中的薄弱环节。高效能的隔声窗一般须采用双层或三层不开启的构造,并在边缘敷设吸声材料;而高效能隔声门的门缝处理,要做成斜企口或多道企口。为了不使门扇过重或门缝处理过于复杂,常采用两道隔声门或声锁的构造形式。声锁是在两道隔声门之间,设置一个较大空间的门斗,并在门斗的内表面做强吸声处理。这样,声锁的隔声量常可以超过两道隔声门之和。
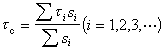
组合构件由不同功能的构件(如墙、门、窗等)组合而成,隔声性能也是不同构件的综合。组合构件的合理设计,要求各部分所传递的声能量大致相等,称为等传声度原则,即τ1s1=τ2s2=τ3s3=…,式中τ1、τ2、τ3、…和s1、s2、s3、…分别代表墙、门、窗等构件的传声系数与面积,组合构件合成的传声系数
,其隔声量
。
构件的隔声单值评价
用一个单一数值来表示构件的隔声能力。常用的方法有:
(1)平均隔声量垪 , 用算术平均值代表某一规定频率范围内隔声量的平均值。
(2)用500赫处的隔声量R500表示,由于500赫是中频的重要频率,也是日常生活声频范围 100~3200赫的中值。
以上两种方法的缺点是有时不能反映出某些重要频带的隔声缺陷。
(3)计权隔声量Rw,是国际标准化组织建议的单值评价方法,采用一条标准曲线(图3),从100~3200赫分三段折线,各有不同的斜率,读数时将此曲线用与构件隔声曲线相同的坐标尺度,画在透明纸上,然后覆盖在需要读数的隔声曲线上,对好频率,垂直地上下移动,使此曲线的位置恰好满足下列两项规定:嘙低于标准曲线的任何1/3倍频程的隔声量与标准曲线的差值不得超过 8分贝;嘜低于标准曲线的各个1/3倍频程的隔声量与标准曲线的差值总和不得超过 32分贝。满足上述条件后,标准曲线在500赫处对应的纵坐标数值就是该构件的计权隔声量。