有源逆变电路

直流电能转换为50Hz(或60Hz)的交流电能并馈入公共电网的逆变电路。它有两个特点:

(1)直流电源为电流源,逆变入端串联大电感Ld,其入端电流id平滑连续(见电流型逆变电路);

(2)其负载是三相交流电网,故可采用负载换流方式(见负载换流式逆变电路)。因此该电路又称负载换流式电流型逆变电路。

工作原理

逆变电路采用三相桥式结构(见图)。

图

由于采用负载换流方式,故桥中开关元件可采用普通晶闸管。其出端A、B、C经限流电感Lа、LbLc与公共电网联结。此处三相电网作为逆变电路负载接受其馈入电能,桥中各晶闸管T1~T6均工作于开关状态,采用相控方式(见电力电子电路)。各晶闸管的导通时刻由加到各门极脉冲的相位决定。逆变桥可视为按一定时序依次轮番通断的 6只开关。但在任何稳定导通状态中,桥中只有两支元件处于导通状态(其余为阻断状态)。例如在某一时刻有T1和T2导通,则有id=iA=-iC,即直流电流 id此时作为电网相电流iAic流向公共电网;而在另一时刻有T4和T5导通,则id=ic=-iA,由前述id为平滑连续直流电流。由于桥中各开关的轮番通断,iAic均为交变方波。同理可知iB也为交变方波。由此可见,若门极脉冲的基本重复频率保持与公共电网同步,则各相电流的重复频率也必然与电网同步,这样电网就得到由直流端提供的、由逆变电路转换的交流功率。

电路输出功率控制

有源逆变电路不仅具有电能的转换功能,而且还可以通过外加信号电压对输出功率进行控制。由图可见,当桥中各开关依次通断时,逆变入端电压uβ实际上是一个由各线电压分段组成的波形。例如当T1和T2导通时,uβ=uAC;而当T4和T5导通时,uβ=uCA(在稳定导通状态下,各相电流为平滑连续,电感Lа、LbLc端压均为零)等。

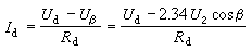
对电路分析可知,逆变入端电压uβ的平均值Uβ可表示为

Uβ=2.34U2cosβ

式中U2为公共电网相电压方均根值,β为门极脉冲的超前控制角。由图可知,直流电流id的平均值Id可表示为

公式 符号

式中Rd为电路直流电阻,Ud为直流电源电压平均值。此式表明,在UdU2Rd为定值条件下,利用控制信号连续改变β值,即可相应改变逆变入端电流平均值Id,从而改变逆变输出交流功率。

有源逆变电路的典型应用是高压直流输电工程和绕线式交流电动机串级调速系统。