微波网络

各类电子系统中用于检测、传输、处理信息或能量的微波电路。微波网络理论主要研究微波电路的分析和设计方法,它与电磁场理论(见电磁场基本定理)同为微波领域中的主要理论基础。

分类

复杂的微波网络由许多简单的微波网络所组成,后者有不同的分类方法。如按网络外接的传输线端口数可分为一端口、二端口、多端口的微波网络;按电路元件的性质可分为有源和无源的微波网络、线性和非线性的微波网络、可逆和非可逆的微波网络等。

无源微波网络

属于二端口网络的有微波滤波器、模式变换器(用于将波导中的一种电磁波模式变换成另一种)、极化变换器(用于改变波导中电磁波的极化性质)、移相器、铁氧体和隔离器等。属于三端口网络的有功率分配器、铁氧体 Y形环形器等。属于四端口网络的有微波混合接头、定向耦合器和定向滤波器等。用于微波多路通信的多工器属于多端口网络,其功能是把一个宽频带信道分割成若干窄频带信道,使信号分别从不同的端口输出。多工器可由多个定向滤波器连接而成,或由带通滤波器及匹配双T电桥组合而成。

有源微波网络

典型的二端口网络是微波晶体管放大器,采用双极型晶体管场效应晶体管可构成低噪声放大器、功率放大器、宽带放大器和窄频带放大器。典型的三端口网络是微波混频器,常用肖特基势垒二极管作混频管,为了降低混频器噪声还可用二只混频管组成平衡混频器。用于低噪声放大的参量放大器也是一种三端口网络,其典型结构由一个三端口Y形环行器和一个二端口反射式放大器组成。信号自环行器的一个端口输入,经接于第二端口的反射式放大器放大后,由环行器的第三端口输出。反射式放大器具有信号端口和泵源端口,输入信号经变容管的非线性电容吸取泵源功率而获得增益。

参量

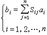
任何微波网络的特性都可以用某一组网络参量来表示。描述 n端口网络的电压{U1U2, …,Un}与电流{I1I2,…, In}之间关系的网络参量,有阻抗参量{Zij|j,j=1,2,…,n}或导纳参量{Yij|j,j=1,2,…,n}(图a),即关系式

公式 符号

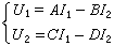
适用于二端口网络的网络参量有转移参量{ABCD}(图b),即关系式

公式 符号

描述网络各端口上入射波幅度{ɑ1ɑ2,…,ɑn}与反射幅度{b1b2,…,bn}之间关系的网络参量为散射参量{Sij|j,j=1,2,…,n}(图a),即关系式

公式 符号

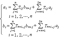
适用于2n端口网络的有传输参量{Tij|j,j=1,2,…,n}(图c),即关系式

公式 符号

上述五组参量都可用矩阵形式表示,并可以互相转换。网络参量可通过理论计算或实验测量的方法来确定。简单网络的参量可以根据电路定理直接计算;含有不连续性的复杂网络须根据电磁场边值问题的数学模型,利用数值解法计算;对于含有源器件的网络或十分复杂的微波网络,需要借助微波网络分析仪或六端口反射计等专用仪器测定其网络参量。

图

分析

微波网络分析主要包括外特性分析、灵敏度分析和容差分析。

(1)外特性分析:求出输入端口的激励与输出端口的响应两者之间的函数关系。频域分析法和时域分析法分别适用于分析微波网络的稳态特性和瞬态特性。时域分析的基本方法有普拉斯变换法、伴随网络法和状态变量法等。

(2)灵敏度分析:目的是获得微波网络中各元件值或参量值的变化对网络外特性的影响,主要是分析散射参量的灵敏度,常用直接法和伴随网络法进行分析。

(3)容差分析:是微波网络计算机辅助设计的一项重要内容。对于已完成设计的网络,还须定量计算各元件参量值的偏差对网络外特性的总影响。元件参量值的偏差与制造公差、模型的近似性以及测量误差等有关。容差分析有最坏情况分析和统计容差分析等方法。

综合

在给定网络输入端口的激励和输出端口的响应特性的条件下,设计网络结构并确定其中各元件的参量。一般可袭用低频网络综合理论中的零点-极点法进行综合,如微波滤波器原型、晶体管放大器的宽频带匹配网络等;也可用级联网络的反射系数进行综合,如阻抗变换器和定向耦合器等。

参考书目
  1. 李嗣范:《微波元件原理与设计》,人民邮电出版社,北京,1982。