[拼音]:shuiti zhiliang moshi
[外文]:water quality model
天然水体水质变化规律的数学描述,简称水质模式,是环境数学模式的一类。河流、河口、湖泊(水库)、地下水和海洋等天然水体虽有各自的水质模式,但是大同小异。水质模式主要用于预测、预报水体的污染趋向,研究水体污染特征以及水体环境的自然净化能力。
水质模式有两种基本类型。一类是简单的一级衰变模式,用来描述在水环境中发生衰变的污染物的模式。例如生化需氧量(BOD)、氨氮、亚硝酸盐以及硫化物等在水体中的衰变模式。另一类是衰变和恢复相结合的水质模式,用来描述在水体中由于多种因素而引起的水质变化,例如溶解氧浓度在水体中平衡过程的数学模式。不论是哪一类水质模式,都是将所研究的某一特定水体当作一个化学反应体系(或称连续搅拌化学反应器)。在这个体系内,污染物的变化是遵守质量守恒定律的。
一级衰变水质模式的一般形式是:
Li=L0iexp(-Kix/u) (1)式中Li为第i种污染物在污染源下游x距离处河水中的浓度(毫克/升);L0i为此种污染物刚进入水体时的初始浓度(毫克/升);u为河水的平均流速(公里/天);x为距离(公里);Ki为此种污染物在水体中的一级衰变系数(天-1)。如果在河水中存在多种可衰变的污染物,那么描述这些污染物总浓度的一级衰变模式就应是:
(2)
式中L为n种污染物的总浓度(毫克/升)。
衰变同恢复相结合的水质模式的一般形式是:
(3)
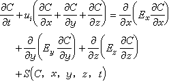
式中C为某种污染物在时间t时的浓度;ui为水流速度矢量(i=x、y、z);x、y、z为时间t时污染物在水体中所处的空间坐标;Ex、Ey和Ez分别为污染物x、y、z方向上的扩散系数(距离/时间);S(C,x,y,z,t)为此种污染物的来源或丢失(浓度/时间)。式(3)可以用来描述污染物在海水中的变化。如果是描述河口、地下水和深湖中污染物的变化,可以用二维水体模式,即在式(3)中将z方向的项目去掉。如果是描述河流中污染物的变化,可以用一维水质模式,即只考虑河水流动的方向。
河流水质模式
目前常见的一维河流水质模式是河水中的溶解氧模式。在这种情况下,S(C,x,t)应该包括:含碳有机化合物和氨氮的耗氧过程,大气的复氧过程,水生植物的光合作用和呼吸作用过程等。假定河流是稳定态,则
,模式的形式就应变为:
(4)
式中C为河水中溶解氧的浓度;L为BOD的浓度;LN为氨氮的浓度;CS为溶解氧的饱和浓度;K1为含碳有机污染物的衰变系数;KN为氨氮的衰变系数;K2为复氧系数;P-R是光合作用产氧与呼吸作用耗氧之差;d为河水的平均深度;u为水流速度。
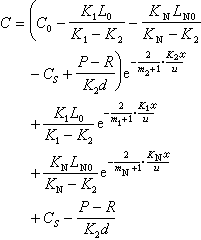
积分(4)式得:
(5)
这里
式中L0和LN0分别为 BOD和氨氮在刚进入河水时的初始浓度;C0为溶解氧的初始浓度。式(5)所描述的溶解氧浓度随距离的变化曲线,称为溶解氧的下垂曲线(图1)。
为了验证模式(5),必须对模式中的参数K1、K2和KN进行估计。
湖泊水质模式
以湖水中所发生的热传递、组成传递、水力机制、化学和生物转化的动力学为基础的水质模式,用以描述湖泊和水库营养状况的物理、化学和生物过程,预报水质的变化趋势。如图2所示,可以将一个湖泊分成若干段,在每一段又可以垂直地分成高度为△z的若干层。
根据质量守恒原理,湖泊的水质数学模式可以写成如下的基本形式:
(6)
式中C、Ci分别为湖水和流入水中污染物的浓度;QV为总流量;Qhi和Qh0分别为水平流入湖泊和流出湖泊的流量;Dz为扩散系数;Vs为沉降速度;S为污染物的来源和丢失项;A为单元面积;△z为单元厚度。
在湖泊模式中所考虑的主要环境变量是:浮游植物、浮游动物、氮、磷、溶解氧、生化需氧量、温度、悬浮物、总固体以及光线等。对于上述各个环境变量可以给出一组相应的湖泊模式的子模式。