边界层

雷诺数较高的液流流经固体边壁时,在壁面附近形成的粘性影响显著的流体薄层。又称附面层。流动的雷诺数越大,边界层越薄。如图1所示,水、空气等低粘性流体顺边壁流过,离壁面较远处不受粘性影响,保持(或接近于)自由流速度U,可用理想液体的欧拉方程近似描述;而紧贴壁面的流体质点粘附其上,不能滑移,流速为u∞=0,在从U到0的减速层即边界层内,流速梯度公式 符号很大,粘滞切应力公式 符号μ为流体粘滞系数)则不能忽略,必须按粘性流动计算。这样分区处理,才使常见的低粘性大雷诺数流动问题能够实际求解。

图

层内呈层流流态的称层流边界层,呈紊流流态的为紊流边界层。

边界层厚度

通常将边界层厚度δ定义为从壁面起到流速为0.99U处的距离。边界层厚度沿流增大,离前缘x处的厚度公式 符号Rex=ρUx/μ(ρ为流体密度)称为边界层局部雷诺数。它随x的增大而增大,若边界足够长,则边界层流动将由层流转化为紊流。以上定义的δ难以精确确定,实用上又提出位移厚度δ1与动量损失厚度δ2。其定义式分别为:

公式 符号     (1)

位移厚度表示由于边界层的存在,外部自由流从壁面向外推移的距离,又称排挤厚度(图2)。动量损失厚度表示一假想流体层的厚度,该层流速为U,而动量恰好等于边界层内因粘性阻滞而损失的动量。

图 边界层基本方程

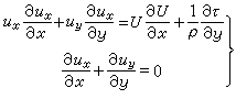
边界层内,粘滞力与惯性力同阶大小,厚度远小于长度。据此,对纳维-斯托克斯方程及水流连续性方程中各项进行数量级比较,略去某些项,可得二维边界层恒定流动基本方程为:

公式 符号     (2)

式中U 为边界层外缘处无粘性流动的速度;层流时,τ为粘滞应力;紊流时,τ为紊动应力与粘滞应力之和。y方向的N-S方程简化为дpy=0,表明层内压强沿壁面法线方向不发生变化,这是边界层的一个重要性质。对式(2)积分,可得边界层积分动量方程为:

公式 符号     (3)

式中τ0为壁面切应力。

边界层分离

由于边界层内дpy=0,当外部流动的压强沿流增加时,层内也就形成了逆压梯度дpx>0。流体质点在逆压和粘滞阻力的联合作用下,速度沿流递减,直到完全停滞。逆压的继续作用,就会出现倒流。而层外流体只受逆压、不受粘滞阻力的作用,到层内流体停滞点(图中s点)的上方,还会保有一定的速度继续前进。因此在s点附近形成明显可见的旋涡回流区,外流被越来越远地推离边界,这就是边界层分离现象(图3)。s点就是分离点。在绕流物体后面,管渠流动的流线弯曲或尖突,下游处以及截面迅速增加或突然扩大的地方,极易发生边界层分离,形成旋涡回流区。旋涡要消耗能量,回流会改变壁面上的压强分布,结果都会使水流阻力加大,水头损失增加。

图
参考书目
  1. L.普朗特等著,郭永怀、陆士嘉译:《流体力学概论》,科学出版社,北京,1981。 (L.Prandtl ,et al., Führer Durch die Str╂mungslehre, Friedr, Viewegtsohn, Braunschweig,1969.)
  2. H.Schlichting, Boundary-layerTheory,McGraw-Hill, New York,1979.