成本效益分析

按照统一的评价准则,从效益和成本两方面对备选方案进行比较、权衡和评价的系统分析方法,又称费用效益分析成本效益分析包括效益分析、成本分析和方案评价。

效益分析

系统效益泛指系统的性能、完成任务的概率和可靠性等。在对各个备选方案进行效益分析时,需要对不同方案确定统一的效益尺度和效益值。效益值可以将不同属性的效益合并成一个效益值,例如用货币形式表示。也可以将不同属性的效益分别取值,或用一个函数来描述。

成本分析

估算各备选方案的成本。系统的成本包括设计费用、制造费用和系统寿命周期内的使用和维修费用三部分。由于三部分费用消耗的时间不同,一般全部折算成某一时间的货币价值来比较。

方案评价

方案评价有三条主要准则:

(1)各备选方案的效益相同,选取成本最低的方案为最优方案。

(2)各备选方案的成本相同,选取效益最大的方案为最优方案。

(3)各备选方案的效益和成本都不相同,选取效益与成本的比值最大的方案为最优方案。

分析方法

常用的方法有效益成本比率法、图解法和向量表示法。

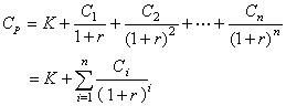
(1)效益成本比率法 假设年利率不变,其值为r,n年内累计的成本C可以用下式折算成贴现率为r的现值:

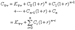
式中K为设计制造费用现值,Ci为第i年的使用维修费用。系统效益的现值EP也可同样求出,然后算出效益成本比值EP/CP,即可比较评价。方案的效益与成本也可折算成n年以后的终值ETVCTV来进行比较评价:

式中KTV为设计制造费用终值。设计制造费用在m年前投入,其数值为K,则KTVK(1+r)m+n,效益成本比为ETV/CTV

(2)图解法

图

用图解法进行成本效益分析时,以成本为横坐标,以效益为纵坐标;或者以决策参数为横坐标,以成本和效益为纵坐标。在平面坐标图上将各备选方案的成本与效益绘成成本效益曲线(见图)。比较方案时,根据评价准则从曲线上直观地得出结论。

(3)向量表示法 一个系统的效益往往是多方面的。例如,导弹系统的效益指标包括射程、命中率、可靠性等。在这种情况下,备选方案的效益可用效益向量来表示:

Ei表示第i个方案的效益。当成本由多个项目的费用构成时,也可用向量类似地加以表示。然后,再用这些向量对方案进行比较评价。

成本效益的对象常常是复杂的系统,包含着许多不定的因素和难以准确估计的数据。不定因素的变化和数据估计的误差会对分析结果产生一定的影响。为了保证成本分析结果的有效性,需要对有关数据进行灵敏度分析,以查明分析结果在有关数据发生多大变化时仍能保持有效。

参考书目
  1. 沈泰昌等编著:《系统工程基础》,国防工业出版社,北京,1981。