[拼音]:zhazhi yaoru tiaojian
[外文]:condition of roll bite
轧件与轧辊接触后,轧辊能把轧件拉入辊缝进行轧制的必要条件,通称轧制咬入。由图1轧件开始咬入时,轧件的受力分析可知,能否咬入取决于加在轧件上的力N和摩擦力T的水平分力Nx和Tx间的力平衡;当Nx≤Tx时,轧件进入辊缝,即可被咬入。故咬入条件为:(假定外推力
。
根据库仑摩擦定律T/N=f=tgβ,f为轧辊和轧件之间的摩擦系数,β为摩擦角,则咬入条件可写为α ≤β。
在轧件塑性变形的过程中,轧件与轧辊的接触面积逐渐增加(图2),轧辊对轧件的作用力方向也随之改变,此时的咬入条件就变为
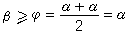
。此式也就是轧件咬入条件的通式;轧制开始时,θ=α,咬入条件为
;而在轧件充满变形区时,亦即轧制建成时,θ=0,则咬入条件为
。