[拼音]:xishou yinzi
[外文]:absorption factor
用于吸收计算的无因次参数(无量纲数)A:
A=L/mG
式中L和G分别为气液两相的摩尔流率;m=y/x,为气液系统的相平衡比;y和x分别为溶质在气相和液相中的摩尔分率。吸收因子的倒数称解吸因子。
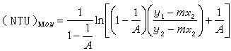
填充塔中的填充层高度H,等于气相总传质单元高度 (HTU)
与总传质单元数(NTU)
的乘积。而当m为常数时,(NTU)
可用下式计算:
式中x2 吸收剂入塔时所含溶质的摩尔分率;y1和y2分别为入塔和离塔气体中溶质的摩尔分率。由此式可知,当y1、y2、x2及m不变时,吸收因子越大,传质单元数越少,也即越容易吸收。吸收因子实际是操作线斜率L/G与平衡线斜率m的比值。因此,一切增大液气比和减小相平衡比的措施,都对吸收过程有利。