[拼音]:fadongji xiaolü
[外文]:engine efficiency
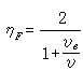
发动机利用燃料热能的有效程度。发动机工作时燃料所含热能只有一部分转变为推进功,其余部分以热能或动能形式损失掉。发动机效率是评定发动机性能的指标之一,它分为热效率、推进效率和总效率。发动机有效功率的热当量与单位时间所消耗燃料的含热量之比称为热效率(有效效率),用以评定发动机作为热机的经济性。活塞式航空发动机的有效功率为轴功率(见发动机功率);喷气发动机有效功率等于单位时间流过发动机内部的气流的动能增量。涡轮喷气发动机的热效率一般为24%~30%。发动机(或推进器)推进功率与有效功率之比称为推进效率(飞行效率),用以评定推进器的有效性。对于涡轮喷气发动机,当气流在喷管中完全膨胀时,推进效率ηF可用下式表示:
式中ve为工作介质的喷射速度,v为飞行速度。当v接近于ve时推进效率较高。在低速飞行时通过螺旋桨推进器气流的速度ve较小而与v接近,所以带螺旋桨推进器的发动机推进效率高于喷气发动机。现代涡轮喷气发动机的推进效率一般为50%~65%,带螺旋桨推进器发动机的推进效率可达80%~90%。推进功率的热当量与单位时间所耗燃料的含热量之比为总效率,它等于热效率与推进效率的乘积,用以评定整个推进系统(包括发动机和推进器)的经济性。