大系统的分解和协调

将大系统分解成若干相对独立的子系统并用协调器来处理各子系统间的关联作用的一种递阶控制方法。通常将大系统分解成若干个相对独立而又相互关联的子系统作为第一级(下级系统),分别求解每个子系统的极值问题,并在第二次(上级系统)设置一个协调机构(协调器)来处理各子系统间的关联作用。通过上下级之间反复交换信息,在求得各子系统极值解的同时,获得整个大系统的最优解。

在递阶系统中,分解和协调是密切相关的两个基本过程。在分解过程中,可以按三种观点来划分子系统:

(1)基于实际系统结构的分解;

(2)基于计算量最小的分解;

(3)基于决策问题数学结构的分解。但无论是哪一种分解,都应使每个子系统在协调器提供协调变量值的情况下,独立地求解各自的极值问题。为此,一方面将大系统的总体目标以适当的形式分配给每个子系统,另一方面在保持整体最优解不变的前提下,对每个子系统中的关联项作某些调整。

协调过程是一个对总体目标寻优的过程。上级系统凭借它所能支配的协调变量去命令下级系统,使下级各子系统的动作协调起来,以便在求得各下级子系统的局部极值解的同时,获得大系统的整体最优解。既然协调器的任务在于从总体目标出发,沟通并处理下级各子系统间的关联,那么就有一个依据何种原理和采用什么策略有效地调配下级系统的问题。归根到底是选择哪个变量作为协调变量的问题。为使协调能达到预期的目的,还要引入可协调性的概念。一个系统按某个原理是可协调的,是指该原理为可行的,并存在一个协调变量,使相应的协调条件得到满足。

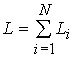
对于线性二次型问题,可在线性状态方程和线性关联方程的约束下求二次型目标函数J的极小解。根据拉格朗日乘子理论,这一问题可化成无约束极值问题。即求拉格朗日函数的极小解,求L的极小解相当于求每个子系统的拉格朗日函数Li的极小解。按照拉格朗日对偶理论,可把一个求有约束的问题的极小解,变换成一个求无约束的对偶问题的极大极小解。即定义一个拉格朗日对偶函数,在满足一组凸性条件下使下式成立:。这就是大系统分解协调的理论依据。这里ρ是拉格朗日乘子,λ是关联拉格朗日乘子,x是状态变量,u是控制变量,z是关联输入变量。选择不同的协调变量,可以构成各种不同的递阶控制方法。其中最基本的是目标协调法、模型协调法和混合法。

目标协调法

选择关联拉格朗日乘子λ作为协调变量来求解下列极值问题的两级递阶算法:

即在第一级,按来自第二级的预估协调变量λ,求N个子系统中拉格朗日函数Li的极值解。在第二级,依据第一级送来的状态变量x和关联输入变量z,通过求拉格朗日对偶函数的极大解,来更新λ值,然后进入下一次迭代。这种上、下级之间信息的迭代交换,一直要进行到关联平衡时才告结束,因此这种算法也称关联平衡法。鉴于在迭代过程中关联方程不成立,所有中间结果都是物理上不可实现的,因而这种算法属于不可行分解法。因在经济系统中协调变量λ具有价格的涵义,故又称价格法

模型协调法

选择输出变量 y作为协调变量来求下列极值问题的一种两级递阶算法:

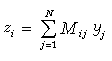
即在第一级,按预估的输出变量y,求N个子系统中拉格朗日函数Li的极值解。在第二级,按第一级送来的关联拉格朗日乘子λ,求拉格朗日函数L对输出变量y的极小解,以更新y值,然后进入下一次迭代。模型协调法要求每个子系统中控制变量的维数mi大于输出变量的维数li,因而其应用范围受到一定限制。鉴于整个迭代过程都满足关联方程(式中zi是第i个子系统的关联输入变量, Mij是常数矩阵,yj是第j个子系统的输出变量),所有中间结果都是物理上可实现的,因此这种算法也叫可行分解法。 因为直接选择输出变量y作为协调变量,故又称直接法。

混合法

这是选择关联拉格朗日乘子λ和关联输入变量z 作为协调变量来求下列极值问题的一种两级递阶算法:

即在第一级,按预估的λ和z将每个子系统的拉格朗日函数Lixi,ui,ρi(这里xi,ui,ρi分别是第i个子系统的状态变量、控制变量和拉格朗日乘子)求一阶偏导数并使之为零,通过解一个两点边值问题,求得子系统的极值解。在第二级,将整个系统的拉格朗日函数L对λ和z求一阶偏导数并使之为零, 利用第一级极值解中xρ的数据,来更新λ和z的值,然后进入下一次迭代。整个迭代过程一直进行到(式中是转置矩阵, Dij是常数矩阵)按预定的精度同时满足为止。 由于这种算法把关联拉格朗日乘子λ和关联输入变量 z两者作为协调变量,它本质上是目标协调法和模型协调法的综合,因而称为混合法。鉴于每次迭代都要对关联输入变量z 进行预估,所以也叫关联预估法。

参考书目
  1. M.D.Mesarovic et al., Theory of Hierarchical Multilevel Systems, Academic Press, New York, 1970.
  2. M.G.辛,A.铁脱里编著,周斌等译:《大系统的最优化及控制》,机械工业出版社,北京,1983。(M.G.Singhand A.Titli, Systems:Decomposition,Optimization and Control, Pergamon Press, Oxford,1978.)