雷达波形

雷达发射信号的波形。广义的雷达波形包括发射波形和接收波形。接收波形是指与雷达接收机滤波器相匹配的波形。在雷达对接收信号进行失配处理时,接收波形不同于发射波形。

雷达波形种类繁多,按其模糊函数形式大体可划分为三类:

(1)具有刀刃型模糊函数的信号,包括具有正刀刃型模糊函数的恒载频脉冲信号和具有倾斜刀刃型模糊函数的线性调频脉冲信号;

(2)具有图钉型模糊函数的伪随机编码信号;

(3)具有钉床型模糊函数的相参脉冲列信号(见雷达模糊)。除恒载频脉冲信号外,其他各类信号的时宽-带宽积均大于1,统称为大时宽-带宽积信号。其中,具有倾斜刀刃型和图钉型模糊函数的信号为宽脉冲编码信号。由于引入脉内非线性相位调制,宽脉冲具有窄脉冲的带宽,通过匹配滤波或相关积分处理后,可压缩成窄脉冲输出,称之为脉冲压缩信号。这种信号既具有宽脉冲波形的优良检测性能和测速性能,又具有窄脉冲波形的高距离分辨力和测距性能。脉冲压缩波形按照脉内非线性相位调制规律可分为调频脉冲压缩信号和相位编码脉冲压缩信号两类。前者又有线性调频和非线性调频之分;后者则有二相编码、多相编码和互补编码之分。

线性调频矩形脉冲信号

这种信号的包络是宽度为T的矩形脉冲,其瞬时载频随时间线性变化。信号的数学表达式可写为

公式 符号

式中公式 符号为频率变化斜率;B为频率变化范围,也是信号的带宽;信号的时宽-带宽积TB=kT2=D(脉冲压缩比)。当D>>1时(通常D≈102~103)信号具有近似矩形的振幅频谱和平方律相位特性。信号的模糊函数呈倾斜刀刃型,与同样宽度的恒载频脉冲信号相比,模糊函数沿ξ(多普勒频移)轴向切割的主瓣宽度相同,而沿τ(时延)轴向切割的主瓣宽度缩小D分之一,亦即两者的速度分辨力与测速精度相同,而线性调频脉冲的距离分辨力和测距精度则比同样宽度的恒载频脉冲信号提高 D倍。这种信号模糊函数的倾斜刀刃位于ξ-=0直线上,即只要|τ|<T,目标回波就都在同一瞬时出现在滤波器输出端,从而无法分辨。这个问题可通过交替发射斜率相反的调频脉冲来解决。这种信号通过匹配滤波或相关积分处理后,输出窄脉冲的包络近似为sinc(x)形状,具有较高的距离旁瓣。为了抑制距离旁瓣,常采用频域加权失配处理,这会引起 1分贝左右的信噪比损失。采用适当的非线性调频(如正切调频)进行匹配处理,同样可获得低的距离旁瓣,却避免了失配引起的信噪比损失。

二相编码脉冲信号

p个紧连着的子脉冲组成。每个子脉冲的载频不变,相位按二元伪随机序列 [CkCk∈(+1,-1),k=1,2,… ,p]编码。式中Ck=+1表示正常的载波相位;Ck=-1表示载波有180°相移。信号的数学表达式可写为

公式 符号

式中 p为伪随机序列长度,也是这种信号的脉冲压缩比;τ为子脉冲宽度;为整个编码脉冲的宽度。信号的模糊函数呈近似图钉型,一般选择具有良好非周期自相关函数的伪随机序列(如巴克序列),使模糊函数沿距离轴向切割具有均匀的低旁瓣,主瓣宽度与子脉冲信号自相关函数的主瓣宽度相同。与宽度为的恒载频脉冲信号相比,速度分辨力和测速精度相同,距离分辨力比测距精度提高了 p倍。当回波信号与匹配滤波器有多普勒失谐时,滤波器不起脉冲压缩作用,必须通过频率跟踪回路加以补偿,因此这种波形常用于多普勒变化范围较窄的场合。

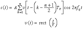
相参脉冲列信号

由多个以一定间距重复出现的恒载频窄脉冲组成。信号保留了窄脉冲的带宽,时宽则随脉冲数而增大,若附加其他调制(如脉内相位编码、脉间频率编码、重复周期编码等),还可增大信号带宽。最常用的是均匀脉冲列信号,其数学表达式可写为

公式 符号

式中τ为窄脉冲宽度;Tr为重复周期;n表示脉冲数。信号模糊函数呈钉床型,它把绝大部分模糊体积移出中心主瓣,分散到周期重复的模糊瓣内,使中心主瓣变得尖窄,因而同时具有较高的距离分辨力和速度分辨力。由于存在周期重复的模糊瓣,当Tr取值不同时会产生距离和速度模糊,或二者之一(见脉冲多普勒雷达)。为了提高雷达抑制杂波的能力,按照最大信号干扰比准则设计的最优信号-滤波器“波形对”,是一对具有不同复加权系数的相参脉冲列信号。它与均匀脉冲列信号不同之处,是对子脉冲进行了振幅和相位加权,或二者之一。

为了提高雷达反侦察、抗干扰能力,70年代以来的雷达,大多配有多种波形,以适应不同的目标和干扰环境,并向波形自适应的方向发展。

参考书目
  1. M.I.斯科尔尼克著,谢卓译:《雷达手册》,国防工业出版社,北京,1978。(M.I.Skolnik,Radar Handbook,McGraw-Hill,New York,1970.)