[拼音]:zhenzhiwu xianquan jihexue
[外文]:geometry of knitted loop
模拟和分析针织物线圈的几何形态,定量求出线圈结构参数间关系的理论体系,用以阐明针织物的收缩机理和研究针织物的尺寸稳定性,为针织物设计和质量控制提供依据。
针织物基本单元线圈处于一个三度空间中,纱线弹性力图使弯曲纱段回复其伸直状态,但受到与串套的相邻线圈的约束力和摩擦阻力的作用而处于平衡状态,使线圈形成一定的几何形态。
早在20世纪30年代,苏联学者A.C.达利多维奇和英国学者F.T.皮尔斯先后在不同假设条件下提出针织线圈几何模型,他们提出的关系式在形式上虽不尽一致,但基本上都把线圈长度作为圈高(或纵密)、圈距(或横密)和纱线直径的函数。图1 为纬平针织物线圈模型,即皮尔斯线圈模型。线圈的最狭部分和上一横列线圈的最宽部分处在同一水平线上,圈弧中的针编弧和沉降弧在织物平面上投影都是圆弧。纱线中心线形成一条覆盖在圆柱表面上的曲线(圆柱的母线与横列平行)。如果以c表示圈高,w表示圈距,d表示纱线直径,皮尔斯提出的线圈长度L的公式是:L=2c+w+5.9d(长度单位为英寸)。这种模型是从几何分析着手的,没有考虑线圈中各线段作用力对线圈形状的影响,所以假定的条件与实际情况有一定的差别。虽然如此,这种线圈模型在相当长时间内曾被人应用。此后英国学者D.芒登提出另一种线圈模型,他认为针织物经松弛处理后趋于最小能量状态,即全松弛状态,并假定不同线圈长度的针织物在全松弛状态下线圈形状具有几何相似性,从而推导出纬平针织物主要参数间的关系式:
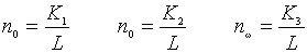
式中no表示每平方英寸内的线圈数;nc表示每英寸内的横列数;nw表示每英寸内的纵行数;K1 、K2、K3为一定松弛条件下的常数。芒登认为针织物的线圈长度决定着线圈的几何形态,线圈长度确定以后,全松弛状态下的织物密度就确定了。这一理论导致纬编针织机广泛采用控制线圈长度的积极给纱机构,为改善针织物尺寸稳定性作出了贡献。但是这一公式忽略了纱线直径对线圈参数的影响,因而计算结果与实际存在一定的误差。澳大利亚学者R.波斯特尔进一步用力学分析方法研究线圈几何形态。他假定的线圈受力状况如图2 所示。这时一个线圈受到上一横列线圈在串套处的作用力可以简化为一合力P和一力偶M。根据线圈各个部段所受作用力和纱线抗弯、抗扭刚度列出力平衡式,从而求得线圈长度与线圈几何参数之间的关系式。
从单个线圈几何结构进而推算织物尺寸的可能变化范围,是研究线圈几何结构的重要方面。苏联学者И.И.沙洛夫根据实验结果指出,对大部分针织物来说,针织物圈高c 和圈距w 在拉伸条件下的相互关系服从于图 3中的线圈参数(圈距、圈高)三角形。点M 相当于织物在拉伸前处于平衡时的状态。点S 相当于横向拉伸织物到断裂时的状态,此时圈距达到最大值w最大,而圈高为最小值c最小 。点R相当于纵向拉伸织物到断裂时的状态,此时圈距为最小值w最小,而圈高达到最大值c最大。线圈参数(w、c)的变化呈线性关系。实验证实,在一定的织物组织和纱线种类的条件下,平衡针织物的线圈几何参数(c、w)取决于线圈长度L(圈距、圈高和线圈长度单位,均为毫米)和公制支数N,其关系如下:
式中 w平衡、c平衡表示针织物在平衡状态下的圈距和圈高;α1 、α2、β1、β2系由纱线种类和织物组织决定的常数。由图3可知,当织物承受一定拉伸或在拉伸后回复过程中,针织物线圈参数的所有变化都处在三角形中,而且圈高与圈距之间的变化具有线性关系。同时针织物在横向和纵向上尺寸变化的可能范围取决于线圈长度和纱线支数。线圈长度愈短,支数愈低,则尺寸变化可能范围就愈小,尺寸稳定性也就愈高。
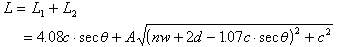
经编针织物线圈几何结构的研究一般都是以弹性杆理论为基础来研究线圈的几何形态的。英国学者P.格罗斯伯格在分析了多种不同组织结构的双梳经编织物后认为整个经编线圈由圈干和延展线组成。如果不计圈干在交叠处的摩擦力,则其受力状况可以简化为在交叠点O受到一对大小相等、方向相反P力的作用,如图4所示。他进一步应用欧拉弹性杆理论经过计算得出圈干长度L1与圈干高度b的比值为一常数,即L1=2.55b。考虑到闭口线圈的圈干部分向延展线的反方向倾斜,若θ表示圈柱倾斜角,则圈干高度b可以由圈高c来求得:b=1.6c.secθ。延展线的长度决定于导纱针在针后横移的针距数n,它在机上因受到纵向拉伸而呈直线状态,在松弛时则呈圆弧状,其长度L2为:
式中d为纱线直径,c为圈高,w为圈距,A为弧长与相应弦长之比值。对于机上状态A=1,对于松弛状态A值取决于圈高和圈距之比值。故经编针织物线圈长度L为:
上述线圈理论和计算公式基本上从经编线圈假定为平面图形得出的,计算结果比较符合于机上状态的织物,对松弛织物则存在一定的误差。