[拼音]:chuanbo kuaisuxing
[外文]:ship speed and resistance
船舶在一定主机功率下以较快速度航行的性能。它是影响船舶营运效率的一个重要性能。船舶快速性取决于两个因素:船舶前进时受到的阻力和船舶推进装置的效率。
船舶运动的阻力
船舶运动时,船体的水线下部分浸入水中,其余部分则处在空气中。因此,船舶运动时受的总阻力包括水阻力和空气阻力。由于水的密度远大于空气的密度,因此水阻力是主要阻力。水阻力按产生的原因,可分为粘性阻力和兴波阻力。
粘性阻力
由于水的粘性作用引起的阻力,包括摩擦阻力和旋涡阻力。摩擦阻力产生于水对于船体表面的粘附作用,在船舶总阻力中所占比重最大。摩擦阻力对低速船可占总阻力的80%;对高速船也要占50%左右。减小摩擦阻力的途径是缩短船长、减小浸水表面积和提高船体的表面光洁度。旋涡阻力又称形状阻力或粘性压差阻力,它是水流经船体表面时因粘性引起首尾的压力差而形成的,其值同船体尤其是船体尾部的形状有关。如尾部线型过于丰满,就容易产生旋涡,增加旋涡阻力。减小旋涡阻力的途径是加大船舶长宽比和采用流线形船体。
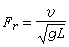
兴波阻力
是船舶航行时兴起的重力波引起的阻力,对高速船特别重要,其大小取决于船的航速及长度。它们的关系可用弗劳德数Fr表示:
式中v为航速(米/秒);g为重力加速度(米/秒2);L为船长(米)。如果Fr大于0.35,兴波阻力即超过摩擦阻力而居主要地位,但一般运输船舶的弗劳德数都在0.35以下。减小兴波阻力的主要途径是改进船型及改变航行方式。通过系列船模试验研究,现在可以得到兴波阻力较小的船型及合理的船舶主尺度比和船型系数。船舶航行时兴起的波浪一般有首波和尾波二个波系。如果船型选择适当,可以使二个波系产生有利干扰,而使兴波阻力减少,如在船首设一球鼻也可产生附加波系;使波的干扰有利兴波阻力减小。船舶若能脱离水面腾空航行或潜水航行,则可避免波浪的产生及不产生兴波阻力。
船舶的推进效率
为了使船舶能以一定的速度向前行进,必须有一个与阻力大小相等、方向相反的推力。这个推力通常是依靠推进器推水向后而产生的。最常见的推进器是装在船尾部水下的螺旋桨。由于螺旋桨工作时会使一部分水流产生向后和旋转的运动,因而要耗去一部分功率,使螺旋桨的效率在理论上不可能接近1,同时由于螺旋桨是在船尾复杂的流场中工作,受到不均匀水流的影响,使效率更低。螺旋桨高速运转时,桨叶上水流压力下降,当下降到水的汽化压力时,水就变成汽,形成气泡,效率进一步下降,使推进效率很低。因此,对船舶推进的研究很为迫切。既要对螺旋桨本身的工作情况进行理论探讨和科学实验,又要分析螺旋桨在船尾水流中的具体工作条件,研究船体对螺旋桨的影响,这样才能设计出接近于理想的螺旋桨,使船舶获得尽可能高的推进效率。
快速性良好的船舶,除应具有优秀的船型使航行时产生的阻力最小以外,还必须具有良好的推进性能,使主机的功率得到充分利用。研究船舶快速性的方法有理论分析、船模试验和实船测试等三种。其中船模试验仍是目前获得船舶快速性资料的主要手段。