[拼音]:fenbu canshu dianlu
[外文]:distributed parameter circuit
必须考虑电路元件参数分布性的电路。参数的分布性指电路中同一瞬间相邻两点的电位和电流都不相同。这说明分布参数电路中的电压和电流除了是时间的函数外,还是空间坐标的函数。
一个电路应该作为集总参数电路,还是作为分布参数电路,或者说,要不要考虑参数的分布性,取决于其本身的线性尺寸与表征其内部电磁过程的电压、电流的波长之间的关系。若用 l表示电路本身的最大线性尺寸,用λ表示电压或电流的波长,则当不等式
λ>>l
成立时,电路便可视为集总参数电路,否则便需作为分布参数电路处理。
在电力系统中,高电压远距离的电力传输线是比较典型的分布参数电路。因为这种电路虽然电压、电流的频率很低(50Hz),波长很长(6000公里),但其长度却达数百公里甚至几千公里,已可与波长相比拟。另外,在通信系统中所用的信号传输线、发射天线和接收天线等的实际尺寸并不太长,但传送的信号却频率高、波长短,所以也应作为分布参数电路处理。
研究分布参数电路时,常以具有两条平行导线、而且参数沿线均匀分布的传输线为对象。这种传输线称为均匀传输线(或均匀长线)。作这样的选择是因为实际应用的传输线可以等效转换成具有两条平行导线形式的传输线,而且这种均匀的传输线容易分析。
简史
对分布参数电路的研究始于19世纪中叶。1856年物理学家开尔文针对当时利用海底电缆传送电报出现的信号延迟、畸变和变弱的现象,首先提出了海底电缆的理论,成为研究分布参数电路的先驱。1893年,英国工程师O.亥维赛利用J.C.麦克斯韦的自由空间电磁波理论,对二线传输线(包括同轴传输线)导引的电磁波,首次提出了简明而又普遍化的解释,从而全面地建立了传输线(长线)的经典理论。
分析方法
在电路理论中,对分布参数电路进行分析时,首先是建立模型。建立模型采用的是无限逼近法。这种方法是将分析对象(例如均匀传输线)设想为许多个无穷小长度元dχ。由于长度元dχ是无穷小量,在这些长度元的范围内参数可以集中。于是,每个长度元可以抽象成一个集总参数电路。而这些集总参数电路级联而成的链形电路就成为整个均匀传输线的电路模型。显然,只有无穷小长度元dχ的个数为无限多时,链形电路才能准确地代表均匀传输线。接着是根据模型写方程。方程是参照长度元dχ抽象成的集总参数电路,利用KCL和KVL(见基尔霍夫定律)写出的。它是一个偏微分方程组。最后是解方程求解答,再根据解答讨论电路(即传输线)的性能。
如果建模完成后,再用合适的实际电阻器、电感器和电容器来实现,便可得到一个线性尺寸很小的称为人工线的实际链形电路。这就提供了对传输线进行实验研究的条件。人们可以在实验室内利用很短的人工线实现对长达几百公里,甚而上千公里的输电线上的各种工作状态的观察和各种数据的测量。
分布参数电路作为一个电磁系统当然还可采用电磁场理论进行分析。这样做虽然严格与精确,但并不方便,因为求解电磁场方程组要比求解电路方程组困难得多。因此,通常是采用电路理论来分析分布参数电路。
传输线
传送能量或信号的各种传输线的总称。其中包括电力传输线、电信传输线、天线等。传输线又称长线。由于它具有在空间某个方向上其长度已可与其内部电压、电流的波长相比拟,而必须考虑参数分布性的特征,所以是典型的分布参数电路。在电路理论中讨论传输线时以均匀传输线作为对象。均匀传输线是指参数沿线均匀分布的二线传输线,其基本参数,或称原参数是R0、L0、C0和G0。其中R0 代表单位长度线(包括来线与回线)的电阻;L0代表单位长度来线与回线形成的电感;C0和G0分别代表单位长度来线与回线间的电容和漏电导。这些参数是由导线所用的材料、截面的几何形状与尺寸、导线间的距离,以及导线周围介质决定的。在高频和低频高电压下它们都有近似的计算公式。
传输线的方程及其正弦稳态解将均匀长线分成许多长度元dχ,其中之一见图1a。
对该长度元忽略参数的分布性,可得出其集总参数电路模型(图1b)。将每个长度元都这样处理后,得出的由许多集总参数电路作为环节级联而成的链形电路就是整个均匀长线的电路模型。若设图1a所示长度元的A点和B点距长线的始端的距离分别为χ和χ+dχ;在某一瞬间A点的电压为V,电流为I;在B点的电压为V+dV,电流为I+dI, 则对此长度元的集总参数电路模型(图1b)可用KVL和KCL导出偏微分方程组
(1)
(2)
这个方程组称为传输线方程。此方程组的另一种形式是
(3)
(4)
通常称为亥维赛电报方程。在正弦稳态下,使用电压和电流的相量可将上述方程组化为
(5)
(6)
式中Z0称为线阻抗,Y0称为线导纳。
联立式(5)和式(6)求解,可得电压和电流的正弦稳态解
(7)
(8)
式中A1和A2是需要根据边界条件定出的两个常数,通常都是复数,可分别记为A1=a1e拸$和A2=a2e拹$;
,称为长线的传播系数;
,称为长线的特性阻抗或波阻抗。γ与ZC皆由原参数R0、L0、C0、G0和角频率ω 决定,合称为长线的副参数。
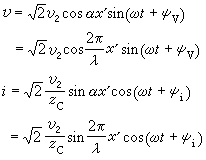
长线的一个明显的特征是其电压和电流正弦稳态解中的两个分量的波形皆随时间的变化而沿线移动。这种沿线向一个方向移动的波称为行波。将式(7)和式(8)改写成瞬时值形式
(9)
便容易证实这一点。电压表达式右端第一项代表的电压分量VI(χ ,t) 是以速度(称为相速或波速)
沿线向χ 增加方向传播的行波,而且随着波的前进,振幅按因子 e-βχ决定的指数律衰减。这个从始端向终端传播的行波称为电压入射波。图2a
表示出 t=t0和t=t0+Δt时的VI(χ ,t)曲线。同样,电流分量IφI(χ ,t)也是一个行波,称为电流入射波。电压(电流)的另一个分量VR(χ,t)·[IR(χ,t)]也是一个行波,波速也是vp。但由于相位中与χ 有关的项是αχ,而不是-αχ,所以这个波的传播方向与VφI(χ ,t)[IφI(χ ,t)]的传播方向相反。另外,由于因子eβχ随χ的减少而减少,其振幅也随着波的前进而逐渐衰减。这个从终端向始端传播的行波称为电压(电流)反射波。图2b表示的是电压反射波VR(χ ,t)的波过程。
式(9)和式(10)的 β和α分别称为衰减系数和相位系数。前者决定波振幅衰减的快慢,后者决定波相位变化的快慢。
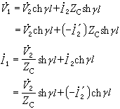
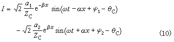
均匀传输线的匹配运行状态用长线终端处的电压妭2和电流夒2作为边界条件定出常数A1和A2后,可得出用妭2和夒2表示的线上任一点处电压和电流,即
式中χ┡是从终端算起的距离。
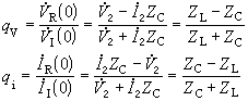
在长线终端处电压和电流反射波相量分别与电压和电流入射波相量之比称为电压反射系数和电流反射系数,即
式中ZL=妭2/夒2是负载阻抗。
当终端所接负载阻抗ZL等于特性阻抗时,反射系数等于零,说明在这种情形下不存在反射波。均匀传输线不存在反射波的运行状态称匹配状态,简称匹配。这时的负载称为匹配负载。 因为无反射波将能量携带回始端(电源端)的现象发生,所以由始端送达终端(负载端)的能量将全部被负载吸收。在这种状态下,负载吸收的功率为
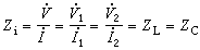
式中ZC和θC分别是特性阻抗的模与幅角。这一功率称为自然功率。入端阻抗
即从长线上任何一处向终端看去,入端阻抗均等于特性阻抗。因此,特性阻抗又称重复阻抗。
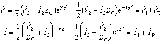
长线的等效电路长线始端电压和电流与终端电压和电流之间的关系为
式中夒娦前的负号表示终端电流的参考方向改选为由终端指向始端。将上述方程与二端口网络的含T 参数的方程比较一下发现,当只关心长线始端或终端的电压或电流时,整个长线可视为一个无源二端口网络,其 T参数为
由于A=D,而且AD-BC=ch2γl-sh2γl=1,此网络还是一个对称互易二端口网络。均匀长线可用等效的 T型网络和劧型网络来代替。
在T型网络内(图3a)
在劧型网络内(图3b)
均匀长线可以在实验室内用人工线进行研究。人工线就是用许多个T型网络或劧型网络级联而成的。
无损耗传输线原参数中代表耗能的参数R0=0和G0=0的均匀传输线。 又称无损长线。高频传输线因其
,可以近似地按无损耗传输线处理。对这种线
是纯电阻,所以电压和电流同相;
即
以及
与频率无关。
当该线开路(空载)时,因夒2=0 ,有
写成瞬时值形式,又有
这二式表明,线上各点的电压和电流均随时间t 作正弦变化, 而二者之振幅也随χ┡作正弦变化。 两种波形曲线见图4a。
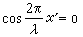
从电压的波形图上可以看到,在
的各点上出现电压最大值(因为此时
),在
的各点上电压为零(因为此时
)。也就是说,在前一类点上出现电压的波腹,在后一类点上出现电压的波节。从电流的波形图上看到的恰好相反,在
各点上出现电流的波节,在
各点上出现电流的波腹。由于这些波腹、波节都驻立不动,所以电压、电流波亦驻立不动而成为驻波。
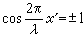
此时入端阻抗
式中X1为电抗。由此式可知入端阻抗是一纯电抗,并且随线的长度l而异,在
时为容抗;在
时为感抗,余类推(图4b)。在
时,入端阻抗为零,相当于电压谐振;而在
时,入端阻抗为无限大,相当电流谐振(图4c)。
无损耗传输线短路时的情况可作类似的讨论,得到的结论与空载时的结论互为对偶 (图5)。
入端阻抗的上述性质使得无损耗传输线在高频电路中获得多方面的应用。例如开路线和短路线都可用作电抗元件,
开路线可充当电容器,而
的短路线则能充当电感器;又例如可利用长度等于
的开路线或短路线作为具有高品质因数的振荡回路。另外,将长为
无损耗线接在一般长线与纯电阻负载之间会起一个阻抗变换器的作用,使负载与长线相匹配,等等。