化学计量学

由于化学反应而引起反应物系组成变化的计算方法,是对反应过程进行物料衡算热量衡算的依据之一。

化学计量方程

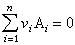
化学计量学计算的基础方程。设反应组分(反应物及反应产物)A1,A2,…An间进行一个化学反应,根据反应前后反应物系的质量保持不变(核反应除外),即反应物消失的质量恒等于反应产物生成的质量,其化学计量方程可以下列通式表示:

v1A1v2A2+…+vnAn=0     (1)

公式 符号         (la)

式中vi为反应组分Ai的化学计量系数;Ai为反应物时,vi<0;Ai为反应产物时,vi>0;Ai若为惰性组分则vi=0。如将反应物集中在左端,而反应产物全部移至右端,(1)式即是通常的化学方程式。化学计量方程仅表示反应过程中反应组分摩尔质量变化的比例关系,而不反映反应实际进行的机理。

如在n个反应组分间存在着m个相互独立的化学反应,则有如下的化学计量方程:

公式 符号      (2)

式中vij为第j个反应中反应组分Ai的化学计量系数。

独立反应数

同时进行的若干反应,如果其中任何一个反应均不可能由其他反应线性组合得到,此即为独立反应。反应物系中存在多个反应时,首先需确定独立反应数,它可根据化合物元素矩阵来确定。设反应组分A1,A2…,An是由p个元素E1,E2…,Ep所组成,反应组分Ai中含元素Ek的原子数为公式 符号,则按反应组分及组成元素可写出下列矩阵:

公式 符号

若上列矩阵的秩为R,则独立反应数m等于n-R。此法不适用于含有同分异构化合物的物系。计算各反应组分量的变化时,只需计及独立反应,毋需考虑非独立反应。

反应进程变量

表示反应进行程度的变量。若物系中只含一个反应,则用一个变量即可描述反应进行的程度;若为多个反应,则反应进程变量数目应等于独立反应数。常用的反应进程变量有:

(1)反应进度。指反应组分的变化量与其化学计量系数之比,是一个广度变量,单位为mol。反应进度是对一个反应而言的,若有m个独立反应,相应的有m个反应进度。根据反应进度可以计算任何反应组分的变化量。

(2)转化率。某一反应物的反应量与其初始量之比。转化率为一强度因素,其值小于或等于 1。除非初始反应物系中各反应物的比例符合化学计量系数比,否则按不同反应物计算的转化率的数值是不同的。

(3)收率。为生成某一反应产物所消耗某一反应物的摩尔量与该反应物的初始摩尔量之比。收率亦为强度因素,其值小于或等于1。若按重量来计算收率,称为重量收率,当产物的分子量大于反应物的分子量时,则其值可能大于 1。

(4)选择率。为生成某一反应产物所消耗某一反应物的摩尔量与该反应物转化的摩尔量之比。选择率也是强度因素,其值小于或等于1。

根据转化率、收率和选择率的定义可知,收率等于转化率与选择率的乘积。

具有循环过程的反应系统,反应器流出的物料分离出大部分产品后,又回到反应器进口处。所以,进入反应器的物料组成将不同于进入反应系统的原料组成,反应器出口的物料组成也不同于离于反应系统的物料组成。以反应器进出口为基准计算的收率和转化率,分别称为单程收率和单程转化率。如以进出反应系统的物料来计算转化率和收率,则分别称为全程转化率和全程收率。

反应进度是根据反应来定义,而转化率、收率和选择率则是按反应组分来定义,因此两类反应进程变量不应混用。