能观测性

系统的初始状态可由其输出的量测值来确定的一种性能。通常,能观测性问题是在不考虑外输入作用存在的情况下来讨论的。如果对应于某个非零的初始状态,系统在一个有限时间间隔内的输出恒等于零,就称这个状态是不能观测的。如果系统的所有可能的非零状态都不是不能观测的,那么就称系统是完全能观测的。能观测性的概念是R.E.卡尔曼在1960年针对线性系统提出的。同能控性一样,能观测性也是现代控制理论中的一个基本的概念。在线性系统的状态观测器、线性调节器等研究中,能观测性概念具有重要作用。

对于线性系统,能观测性及其判别条件都已有成熟的研究结果。对于定常系统,如果系统的状态方程和量测方程为

则系统为能观测的充分必要条件是能观测矩阵Qo的秩为n,其中

n是系统状态的维数。对于线性时变系统,判别系统能观测性的条件在形式上和运用上都要复杂一些,而且系统是否能观测还常依赖于初始时刻的选取。

通过特别选定的坐标变换,可以把完全能观测的线性定常系统的状态方程和量测方程化成一种标准的形式,称为能观测规范形。对于单变量系统,能观测规范形具有如下的形式:

式中是系统矩阵A的特征多项式的系数。对于多变量系统,能观测规范形不是唯一的,在形式上也更复杂一些。常用的有吕恩伯格规范形、旺纳姆规范形和横山规范形。能观测规范形常被用于状态观测器的设计。

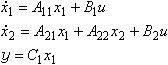
如果所研究的系统是不完全能观测的,那么通过引入适当的坐标变换,可以把系统分解成能观测部分和不能观测部分。对于线性定常系统,系统分解后的形式为

式中x1为能观测分状态,x2为不能观测分状态。当系统既不是完全能观测的、也不是完全能控的时,则可将其分解成四个部分:能控、能观测部分;能控、不能观测部分;不能控、能观测部分;不能控、不能观测部分。这种分解通常称为系统结构的规范分解。在这四部分中,经典控制理论中广为采用的传递函数只能反映系统中能控、能观测部分。

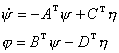
能观测性和能控性是对偶的。对于线性定常系统,系统

称为原系统的对偶系统。式中向量ψ为对偶系统的状态,向量η和嗘分别为对偶系统的输入向量和输出向量,ABCD为原系统的系数矩阵,上标T表示矩阵的转置。系统的能控性及其判别条件等同于对偶系统的能观测性,而系统的能观测性及其判别条件则等同于对偶系统的能控性。这一结论称为对偶原理。能控性和能观测性间的这种对偶关系,对于理解最优调节器(见极大值原理)和最优滤波器(见卡尔曼-布什滤波)间的关系是很重要的。

对于分布参数系统和非线性系统的能观测性和判别条件也已有所研究,但远不如对集中参数的线性系统的研究那样成熟。

参考书目
  1. 中国科学院数学研究所控制理论研究室编:《线性控制系统的能控性和能观测性》,科学出版社,北京,1975。