[拼音]:juedui wendingxing
[外文]:absolute stability
非线性特性可在一个限制类中任意选取时的非线性反馈系统的稳定性。绝对稳定性和通常意义下的稳定性很不相同。绝对稳定性研究在某种限制下的一类非线性系统为全局渐近稳定的条件,而通常意义下的稳定性则只局限于对具体的非线性系统个别进行分析。非线性反馈系统(见图)是反馈控制系统的一种类型,它的特点是:前馈通道中的部件是线性的,用传递函数G(s)来描述;反馈通道中的部件具有非线性特性,表示为 σ=嗘(y)。在工程问题中,一些快速控制系统常采用这种结构形式。在绝对稳定性的研究中,非线性特性的限制类常取为满足不等式 k1y2≤y嗘(y)≤k2y2的所有非线性函数嗘(y),其中k1和k2为常数。在k1和k2 给定后,绝对稳定性只依赖于线性部件的传递函数G(s)。研究绝对稳定性的方法主要有时间域的李雅普诺夫函数法和频率域的波波夫法。
时间域的李雅普诺夫函数法先由线性部分的传递函数G(s)定出相应的状态方程和输出方程(见最小实现)
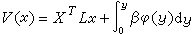
式中x为状态,y为输出,u为控制,v为参考输入,A、B和C为相应的系数矩阵。随后,取李雅普诺夫函数(见李雅普诺夫稳定性理论)为
式中xT为x的转置,L为正定对称矩阵,β取为使得V(x)对任意非零的x均为正值。系统绝对稳定性的判据表明,如果李雅普诺夫函数V(x)在系统状态方程的约束下对时间t的全导数
当x≠0时均为负值,那么非线性反馈系统是绝对稳定的。
对于给定的线性部分传递函数G(s),取s=jω可得频率响应G(jω),并构造辅助函数
式中ReG(jω)和ImG(jω)分别表示G(jω)的实部和虚部,ω为频率。波波夫判据可表示为:对于非线性反馈系统,如果非线性特性嗘(y)满足不等式0≤y嗘(y)≤ky2(k>0)所规定的限制,并且存在有限实数q,使对一切ω值下式成立:
则系统的零平衡状态是全局渐近稳定的。
不管是李雅普诺夫函数法还是波波夫法都只给出判断绝对稳定性的充分条件。不符合判据条件的系统仍然有可能是绝对稳定的。而且,李雅普诺夫函数法和波波夫法实质上是等价的。