建筑材料的物理性能

土木建筑材料的物理性能通常指:密度、比重、容重、 孔隙率、硬度以及热、声、光、 电等方面的性能(力学性能见建筑材料的力学性能)。

一般物理性质

密度

材料在绝对密实状态下单位体积的质量。如材料的体积内包含有孔隙和水分时,则求得的密度称为视密度或表观密度。

测量密度时,由于一般材料的内部均含有一些孔隙,为了获得绝对密实状态的试样,须将材料磨成细粉以排除其内部孔隙,再用排液置换法求出材料的绝对密实体积。材料的密度单位可用克/厘米3、千克/升、千克/米3等表示。

比重

材料在 4°C时和绝对密实状态下的重量与同体积水的重量之比,或材料的密度与水的密度之比。

容重

材料在自然状态下(包含内部孔隙)单位体积的质量。当材料含有水分时,其质量和体积均能发生变化,影响材料的容重值。故对所测的材料容重,必须注明其含水状态。通常所谓的材料容重是指材料在气干状态下的容重,而在烘干状态下的容重则称为干容重。材料的容重单位一般可用克/厘米3、千克/升、千克/米3等表示。

松散容重

散粒状材料在自然堆积状态下单位体积的质量。从一定高度将散粒状材料自由落下并装满容器,以容器的容积除其质量,即为松散容重。砂、石和水泥等材料的容重常用松散容重表示。

密度、容重和松散容重可用于计算材料的孔隙率、空隙率,以及估算材料的体积和质量。

孔隙率

材料中孔隙体积占材料总体积的百分比,是衡量材料多孔性或致密程度的一种指标。材料内部孔隙中,有与外界相连通的开口孔隙和与外界隔绝的封闭孔隙。孔隙本身按其孔径大小又可分为极细孔隙、毛细孔隙和粗大孔隙等。孔隙率大小、孔隙结构以及各种大小孔隙的级配,对材料的容重、强度、湿胀干缩、吸水、抗渗、抗冻和声、绝热等性能都有重要影响。

孔隙率(η)可根据材料的容重 (у0)和密度()按下式计算:

公式 符号

材料的孔隙结构的测量方法很多,目前应用较广的是:大孔隙结构采用显微镜法;微小孔隙结构采用气体吸附法和水银压入法。

空隙率

散粒状材料在自然堆积状态下,颗粒之间的空隙体积占总体积的百分比。可以利用上述公式,用视密度代入,у0用松散容重代入,则求得的η值即为空隙率。

吸水率

材料由干燥状态变为饱和吸水状态所增加的质量与材料干质量的百分比。算式为

公式 符号

式中 B为材料的吸水率; G为材料在干燥状态下的质量(克);G1为材料在吸水饱和状态下的质量(克)。

吸水率表示材料吸收水分的能力。它与材料的孔隙构造及其表面性能有关。细小而连通的孔隙较易吸水,粗大的孔隙内不易存留水分,所以封闭或粗大孔隙的材料吸水率都是较低的。材料表面是亲水性的容易吸水,是憎水性的则不能吸水。

致密岩石(如花岗岩)的吸水率为0.5~0.7%,普通混凝土为2~3%,粘土砖为8~20%,木材或某些轻质材料的吸水率常大于100%。

含水率

材料内部所包含水分的质量占材料干质量的百分比。材料在自然环境中,其孔隙中所含有的水分与空气湿度达到平衡时,这部分水的质量占材料干质量的百分比,称为平衡含水率。材料含有水分之后,常引起质量增大、体积膨胀、强度和隔热性能降低等弊病,因此应注意采取防护措施。

硬度

材料抵抗其他物体刻划、摩擦、压入其表面的能力。不同的材料要采用不同的硬度测试方法。天然矿物的硬度用抵抗刻划的能力表示,常用莫氏硬度计测定。莫氏硬度计规定了10种不同硬度的矿物做为硬度等级标准,按滑石、石膏、方解石萤石、磷灰石、正长石、石英、黄玉刚玉金刚石依次排列。采用刻划的方法即可鉴定出被测矿物的硬度。

石材的硬度用抵抗磨耗的能力表示。试件用石英砂磨料经一定摩擦行程后,以单位摩擦面积上的质量损失表示其硬度。用下式计算:

Aɡ/F

式中A为磨耗硬度(克/厘米2);ɡ为试件质量损失(克);F为试件摩擦面积(厘米2)。

金属的硬度用抵抗物体压入的能力表示。常用的有布氏硬度和洛氏硬度。

(1)布氏硬度。用一定直径的钢球,以规定荷载压入金属表面。布氏硬度值是以压痕球面积上所承受的平均压力表示,用下式计算:

公式 符号

式中HB为布氏硬度值(千克力/毫米2);P为钢球上的荷载(千克力);D为钢球直径(毫米);d为压痕直径(毫米)。

(2)洛氏硬度。用金刚石圆锥体或钢球标准压头先后两次施加负荷。洛氏硬度值(HR)是以在初荷载继续作用下,由主荷载所引起的残余压入深度值计算。残余压入深度值越大,金属硬度越低,反之则硬度越高。

此外,尚有维氏硬度、肖氏硬度等方法,维氏硬度与布氏硬度类似,肖氏硬度用于测定橡胶、塑料等的材料硬度。

材料内部组织的硬度是用显微硬度计测定。材料的硬度与材料的强度、耐磨性、加工性能以及其他物理力学性能均有密切关系。

热学性质

比热容

单位质量的材料温度升高 1开所吸收的热量,比热容的工程单位是焦/(千克·开)。材料的比热容主要取决于矿物成分和有机质的含量。湿度对材料比热容影响很大,它随着材料湿度的增加而提高。其比热容大多在0.42~2.51×103焦/(千克·开)之间。

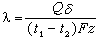
热导率

在稳定传热条件下,传热方向垂直于材料表面,在壁厚为1米的板材上,壁内外表面的温差为1开,单位面积上、单位时间所传递的热量。算式为

公式 符号

式中λ为材料的热导率,也称导热系数[瓦/(米·开)];Q为总传热量(焦);t1t1为壁内外表面的温差(开);δ为壁厚(米);F为表面积(米2);z为传热时间(秒)。

热导率表示材料传递热量的能力。它与材料的分子结构、化学成分和容重(包括孔隙率,孔隙大小及构造)等因素有关。材料愈密实,热导率愈大。材料受潮后,热导率显著增大。一般情况,材料温度升高,热导率也会增大。在高温和低温条件下,就要考虑温度对热导率的影响,通常把λ值小于0.23瓦/(米·开)的材料称保温隔热材料。

热阻

材料抵抗热流通过的能力。热阻R 等于温度差除以热流量,单位为开/瓦。热阻愈大,在同样温差条件下,通过材料的热流量愈少。热阻的倒数也称热导(G),即G=1/R,它表示材料内外表面的温差为1开时所传递的热流量,单位为瓦/开。

热扩散率

在不稳定传热条件下,材料受到冷却或加热作用时,温度变化在材料内部扩展的速度。算式为

a=λ/c式中a为热扩散率(米2/秒);λ为热导率[瓦/(米·开)]; 为密度(千克/米3);c为比热容[焦/(千克·开)]。a值愈大,温度变化向材料内部扩展速度愈快。在设计围护结构时,一定要考虑材料的热扩散率。

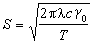
蓄热系数

在周期热作用下,材料蓄热的能力。可用下式计算:

公式 符号

式中S为蓄热系数[瓦/(米2·开)];λ为热导率[瓦/(米·开)];c为比热容,[焦/(千克·开)];у0为容重(公斤/米3);T为周期(秒)。S值愈大,材料的热稳定性愈好,表面温度波动愈小。

声学性质

声波入射到材料表面时,声能的一部分被反射(Er),一部分透过材料(Et),还有一部分被吸收(Ea)。若单位时间内入射总声能为E0,根据能量守恒定律则:

E0Er+Ea+Et

声透射系数

透过材料的声能与总入射声能之比值,声透射系数τ=Et/E0。τ值小的材料称隔声材料。

声反射系数

被反射的声能与总入射声能之比值,声反射系数у=Er/E0。у值小的材料称为吸声材料。

吸声系数

被材料吸收的声能(通常指E0-Er)与总入射声能之比值。

吸声系数α=(E0Er)/E0=1-Er/E0=1-у。对无吸收或完全反射面,α为0;对完全吸收或无反射面,α为1。吸声系数除取决于材料吸收性能外,尚与声荷入射角和频率有关。

隔声量

也称传声损失。入射声能与透射声能相差的分贝数,即R=10lg(1/τ)。式中R为隔声量;τ为透射系数。隔声量越大,则表示透过的声能越小,材料的隔声性能越佳。隔声量与声音频率有关,常用125、250、500、1000、2000和4000赫,6个倍频程的隔声量表示材料的隔声性能,也可用平均隔声量(其算术平均值)来表示。

光学性质

当光束照射到物体(如玻璃、墙等)上时,入射光的强度(I0)中一部分被反射(Ir),一部分被吸收(Ia),一部分透过物体(It)进入另一侧的空间。根据能量守恒定律则:

I0Ir+Ia+It

而三部分所占的比例取决于物体本身的成分、内部结构和表面光滑程度等因素。

根据光线通过反射和透射后的分布情况,材料分为两大类:一类属于定向的,即光线经过反射和透射后,光分布的立体角没有改变(如镜子、透明玻璃);另一类为扩散的,即光线分散在更大的立体角范围内(如粉刷墙面、乳白玻璃、油漆表面、磨砂玻璃)。

反射系数

也称反光系数,反射光强度和入射光强度之比,即RIr/I0

光泽度

材料表面将入射光强度向一个方向反射出去的能力,也称亮度。对于装饰性涂料是一项很重要的指标,常采用与已知光泽度的标准板相比而得。光泽度越高,表示材料表面定向反射光线的能力越强。

透光系数

透射光强度与入射光强度之比,即TIt/I0,也称透光度。

吸光系数

吸收光强度和入射光强度之比,即KIa/I0,也称吸光性。

色度

颜色的纯度或浓度,即色调主波长在与白光混合中所占的百分数。一般用目视区分物体的颜色差别时,由于受到色彩记忆能力和自然条件等因素的限制,不可避免地有人为的误差。颜色的色度可以用光电色差仪进行定量测定。国际上通用的颜色测定系统是国际照明委员会(CIE)所颁布的坐标系统,即测定红、绿、蓝三原色的刺激值XYZ

电学性质

电阻率

长度为1米,截面积为1毫米的材料的电阻欧姆数。电阻率也称比电阻,单位为微欧·米。材料的电阻率除受其物理、化学性能影响外,还受外界温度、湿度及尘埃的影响。

介电常数

在一定的外电场作用下,电介质被极化的程度,单位为法/米。介质的介电常数越大,在电场中其极化程度越高,用它制成的电容器的电容量也越大。为了方便,常用相对介电常数表示:εr=ε/ε0。式中εr为相对介电常数;ε为介电常数(法/米);ε0为真空的介电常数(法/米)。

参考书目
  1. 湖南大学等编:《建筑材料》,中国建筑工业出版社,北京,1979。