静力平衡原理

阐明各种力系的静力平衡条件的原理。在静力荷载作用下结构相对于周围的物体处于静止状态,称为该结构处于静力平衡状态。将结构中的一个部分,从与它相联系的周围部分(可能包括地面)分离开来,则该部分称作分离体,也称隔离体或自由体。单独画出分离体而将与它相联系的地面和周围部分所加给它的力,及它所承受的静力荷载都画到这个分离体上所示的图形,称作分离体受力图,简称分离体图或自由体图。图上所受的若干力(包括静力荷载)构成一组力称为力系,它必须满足静力平衡条件才能维持静力平衡。静力平衡条件通常用静力平衡方程表述。

力系中诸力同在一平面内的称为平面力系;否则称空间力系。

平面力系的静力平衡条件用三个平衡方程表述:

公式 符号

式中XY分别为力系中诸力在xI轴上的投影;M0为诸力绕某一任意选定的力矩中心o的力矩。 上述三个方程尚可转换成一个投影式和两个或三个特定条件的力矩式。

平面力系中诸力均汇交于一点时,该力系称作平面汇交力系。诸力相互平行时,该力系称作平面平行力系。

平面汇交力系的静力平衡方程如下:

公式 符号

平面平行力系的静力平衡方程应为

公式 符号

式中Y是力系中诸力在I轴上的投影,而I轴不垂直于力系诸力。

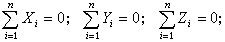
空间力系的静力平衡条件用六个静力平衡方程表述:

公式 符号

公式 符号公式 符号

公式 符号

式中力系共有n个力;XiYiZi为力系中第i号力在三个坐标轴上的投影;xiIizi为第i号力的作用点的坐标。

参考书目
  1. 清华大学理论力学教研组编:《理论力学》,人民教育出版社,北京,1981。